performs local dependence latent lank analysis(LD_LRA) by Shojima(2011)
Usage
LDLRA(
U,
Z = NULL,
w = NULL,
na = NULL,
ncls = 2,
method = "R",
g_list = NULL,
adj_list = NULL,
adj_file = NULL,
verbose = FALSE,
beta1 = 2,
beta2 = 2
)Arguments
- U
U is either a data class of exametrika, or raw data. When raw data is given, it is converted to the exametrika class with the dataFormat function.
- Z
Z is a missing indicator matrix of the type matrix or data.frame
- w
w is item weight vector
- na
na argument specifies the numbers or characters to be treated as missing values.
- ncls
number of latent class(rank). The default is 2.
- method
specify the model to analyze the data.Local dependence latent class model is set to "C", latent rank model is set "R". The default is "R".
- g_list
A list compiling graph-type objects for each rank/class.
- adj_list
A list compiling matrix-type adjacency matrices for each rank/class.
- adj_file
A file detailing the relationships of the graph for each rank/class, listed in the order of starting point, ending point, and rank(class).
- verbose
verbose output Flag. default is TRUE
- beta1
Beta distribution parameter 1 for prior density of rank reference matrix. Default is 2.
- beta2
Beta distribution parameter 2 for prior density of rank reference matrix. Default is 2.
Value
- nobs
Sample size. The number of rows in the dataset.
- msg
A character string indicating the model type.
- testlength
Length of the test. The number of items included in the test.
- crr
correct response ratio
- adj_list
adjacency matrix list
- g_list
graph list
- referenceMatrix
Learned Parameters.A three-dimensional array of patterns where item x rank x pattern.
- IRP
Marginal Item Reference Matrix
- IRPIndex
IRP Indices which include Alpha, Beta, Gamma.
- TRP
Test Reference Profile matrix.
- LRD
latent Rank/Class Distribution
- RMD
Rank/Class Membership Distribution
- TestFitIndices
Overall fit index for the test.See also TestFit
- Estimation_table
Estimated parameters tables.
- CCRR_table
Correct Response Rate tables
- Studens
Student information. It includes estimated class membership, probability of class membership, RUO, and RDO.
Details
This function is intended to perform LD-LRA. LD-LRA is an analysis that combines LRA and BNM, and it is used to analyze the network structure among items in the latent rank. In this function, structural learning is not performed, so you need to provide item graphs for each rank as separate files. The file format for this is plain text CSV that includes edges (From, To) and rank numbers.
Examples
# \donttest{
# Create sample DAG structure with different rank levels
# Format: From, To, Rank
DAG_dat <- matrix(c(
"From", "To", "Rank",
"Item01", "Item02", "1", # Simple structure for Rank 1
"Item01", "Item02", "2", # More complex structure for Rank 2
"Item02", "Item03", "2",
"Item01", "Item02", "3", # Additional connections for Rank 3
"Item02", "Item03", "3",
"Item03", "Item04", "3"
), ncol = 3, byrow = TRUE)
# Method 1: Directly use graph and adjacency lists
g_list <- list()
adj_list <- list()
for (i in 1:3) {
adj_R <- DAG_dat[DAG_dat[, 3] == as.character(i), 1:2, drop = FALSE]
g_tmp <- igraph::graph_from_data_frame(
d = data.frame(
From = adj_R[, 1],
To = adj_R[, 2]
),
directed = TRUE
)
adj_tmp <- igraph::as_adjacency_matrix(g_tmp)
g_list[[i]] <- g_tmp
adj_list[[i]] <- adj_tmp
}
# Fit Local Dependence Latent Rank Analysis
result.LDLRA1 <- LDLRA(J12S5000,
ncls = 3,
g_list = g_list,
adj_list = adj_list
)
#> No ID column detected. All columns treated as response data. Sequential IDs (Student1, Student2, ...) were generated. Use id= parameter to specify the ID column explicitly.
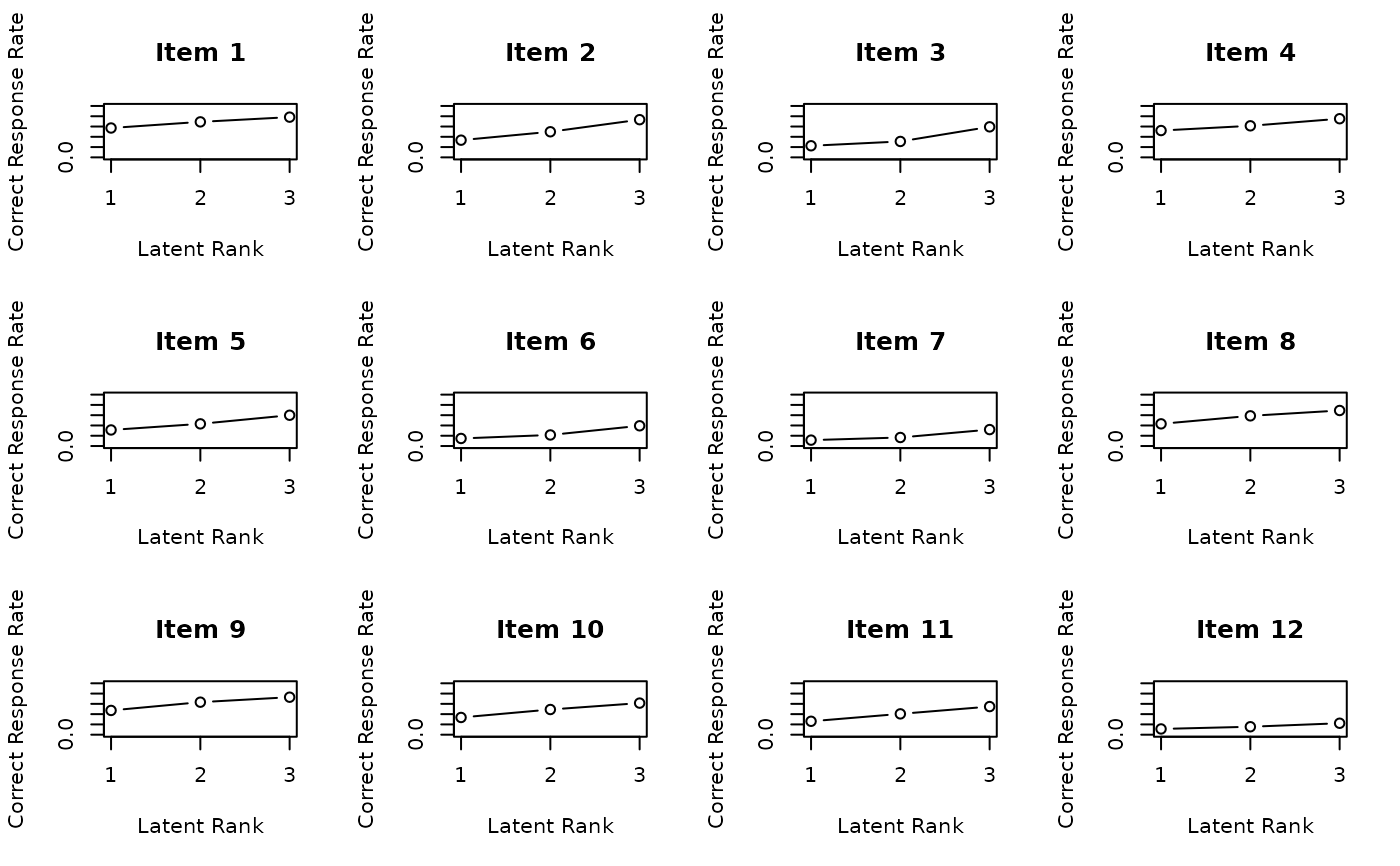
# Plot Item Reference Profiles (IRP) in a 4x3 grid
# Shows the probability patterns of correct responses for each item across ranks
plot(result.LDLRA1, type = "IRP", nc = 4, nr = 3)
# Plot Test Reference Profile (TRP)
# Displays the overall pattern of correct response probabilities across ranks
plot(result.LDLRA1, type = "TRP")
# Plot Latent Rank Distribution (LRD)
# Shows the distribution of students across different ranks
plot(result.LDLRA1, type = "LRD")
# }
