DAG_dat <- matrix(c(
"From", "To", "Rank",
"Item01", "Item02", 1,
"Item04", "Item05", 1,
"Item01", "Item02", 2,
"Item02", "Item03", 2,
"Item04", "Item05", 2,
"Item08", "Item09", 2,
"Item08", "Item10", 2,
"Item09", "Item10", 2,
"Item08", "Item11", 2,
"Item01", "Item02", 3,
"Item02", "Item03", 3,
"Item04", "Item05", 3,
"Item08", "Item09", 3,
"Item08", "Item10", 3,
"Item09", "Item10", 3,
"Item08", "Item11", 3,
"Item02", "Item03", 4,
"Item04", "Item06", 4,
"Item04", "Item07", 4,
"Item05", "Item06", 4,
"Item05", "Item07", 4,
"Item08", "Item10", 4,
"Item08", "Item11", 4,
"Item09", "Item11", 4,
"Item02", "Item03", 5,
"Item04", "Item06", 5,
"Item04", "Item07", 5,
"Item05", "Item06", 5,
"Item05", "Item07", 5,
"Item09", "Item11", 5,
"Item10", "Item11", 5,
"Item10", "Item12", 5
), ncol = 3, byrow = TRUE)
edgeFile <- tempfile(fileext = ".csv")
write.csv(DAG_dat, edgeFile, row.names = FALSE, quote = TRUE)8 局所依存モデルとBINET
この章では,局所依存モデル(LDLRA・LDB)とバイクラスターネットワークモデル(BINET)を紹介します。
LDLRAとLDBは,テストデータにおける局所依存性をモデル化するアプローチです。一方,BINETはバイクラスタリングとネットワーク分析を組み合わせたモデルであり,局所依存モデルとは異なります。
| モデル | 種別 | ノード | ロケーション | 特徴 |
|---|---|---|---|---|
| LDLRA | 局所依存モデル | 項目 | ランク | 項目間の依存関係がランクにより変化 |
| LDB | 局所依存モデル | フィールド | ランク | フィールド間の依存関係をランク内で分析 |
| BINET | ネットワークモデル | クラス | フィールド | フィールド内でのクラス遷移を検討 |
8.1 局所依存潜在ランク分析(LDLRA)
LDLRAは,LRAとBNMを組み合わせたモデルです。項目間の依存関係が異なる習熟度ランクでどのように変化するかを分析します。各ランクに異なるDAGを指定する必要があります。
8.1.1 ランクごとのDAG設定
DAGはCSVファイルで指定します。From, To, Rankの3列を持つデータを準備します。
8.1.2 LDLRAの実行
サンプルデータJ12S5000(12項目・5000人)を使用します。
result.LDLRA <- LDLRA(J12S5000, ncls = 5, adj_file = edgeFile, verbose = FALSE)No ID column detected. All columns treated as response data. Sequential IDs (Student1, Student2, ...) were generated. Use id= parameter to specify the ID column explicitly.
result.LDLRAAdjacency Matrix
[[1]]
Item01 Item02 Item03 Item04 Item05 Item06 Item07 Item08 Item09 Item10
Item01 0 1 0 0 0 0 0 0 0 0
Item02 0 0 0 0 0 0 0 0 0 0
Item03 0 0 0 0 0 0 0 0 0 0
Item04 0 0 0 0 1 0 0 0 0 0
Item05 0 0 0 0 0 0 0 0 0 0
Item06 0 0 0 0 0 0 0 0 0 0
Item07 0 0 0 0 0 0 0 0 0 0
Item08 0 0 0 0 0 0 0 0 0 0
Item09 0 0 0 0 0 0 0 0 0 0
Item10 0 0 0 0 0 0 0 0 0 0
Item11 0 0 0 0 0 0 0 0 0 0
Item12 0 0 0 0 0 0 0 0 0 0
Item11 Item12
Item01 0 0
Item02 0 0
Item03 0 0
Item04 0 0
Item05 0 0
Item06 0 0
Item07 0 0
Item08 0 0
Item09 0 0
Item10 0 0
Item11 0 0
Item12 0 0
[[2]]
Item01 Item02 Item03 Item04 Item05 Item06 Item07 Item08 Item09 Item10
Item01 0 1 0 0 0 0 0 0 0 0
Item02 0 0 1 0 0 0 0 0 0 0
Item03 0 0 0 0 0 0 0 0 0 0
Item04 0 0 0 0 1 0 0 0 0 0
Item05 0 0 0 0 0 0 0 0 0 0
Item06 0 0 0 0 0 0 0 0 0 0
Item07 0 0 0 0 0 0 0 0 0 0
Item08 0 0 0 0 0 0 0 0 1 1
Item09 0 0 0 0 0 0 0 0 0 1
Item10 0 0 0 0 0 0 0 0 0 0
Item11 0 0 0 0 0 0 0 0 0 0
Item12 0 0 0 0 0 0 0 0 0 0
Item11 Item12
Item01 0 0
Item02 0 0
Item03 0 0
Item04 0 0
Item05 0 0
Item06 0 0
Item07 0 0
Item08 1 0
Item09 0 0
Item10 0 0
Item11 0 0
Item12 0 0
[[3]]
Item01 Item02 Item03 Item04 Item05 Item06 Item07 Item08 Item09 Item10
Item01 0 1 0 0 0 0 0 0 0 0
Item02 0 0 1 0 0 0 0 0 0 0
Item03 0 0 0 0 0 0 0 0 0 0
Item04 0 0 0 0 1 0 0 0 0 0
Item05 0 0 0 0 0 0 0 0 0 0
Item06 0 0 0 0 0 0 0 0 0 0
Item07 0 0 0 0 0 0 0 0 0 0
Item08 0 0 0 0 0 0 0 0 1 1
Item09 0 0 0 0 0 0 0 0 0 1
Item10 0 0 0 0 0 0 0 0 0 0
Item11 0 0 0 0 0 0 0 0 0 0
Item12 0 0 0 0 0 0 0 0 0 0
Item11 Item12
Item01 0 0
Item02 0 0
Item03 0 0
Item04 0 0
Item05 0 0
Item06 0 0
Item07 0 0
Item08 1 0
Item09 0 0
Item10 0 0
Item11 0 0
Item12 0 0
[[4]]
Item01 Item02 Item03 Item04 Item05 Item06 Item07 Item08 Item09 Item10
Item01 0 0 0 0 0 0 0 0 0 0
Item02 0 0 1 0 0 0 0 0 0 0
Item03 0 0 0 0 0 0 0 0 0 0
Item04 0 0 0 0 0 1 1 0 0 0
Item05 0 0 0 0 0 1 1 0 0 0
Item06 0 0 0 0 0 0 0 0 0 0
Item07 0 0 0 0 0 0 0 0 0 0
Item08 0 0 0 0 0 0 0 0 0 1
Item09 0 0 0 0 0 0 0 0 0 0
Item10 0 0 0 0 0 0 0 0 0 0
Item11 0 0 0 0 0 0 0 0 0 0
Item12 0 0 0 0 0 0 0 0 0 0
Item11 Item12
Item01 0 0
Item02 0 0
Item03 0 0
Item04 0 0
Item05 0 0
Item06 0 0
Item07 0 0
Item08 1 0
Item09 1 0
Item10 0 0
Item11 0 0
Item12 0 0
[[5]]
Item01 Item02 Item03 Item04 Item05 Item06 Item07 Item08 Item09 Item10
Item01 0 0 0 0 0 0 0 0 0 0
Item02 0 0 1 0 0 0 0 0 0 0
Item03 0 0 0 0 0 0 0 0 0 0
Item04 0 0 0 0 0 1 1 0 0 0
Item05 0 0 0 0 0 1 1 0 0 0
Item06 0 0 0 0 0 0 0 0 0 0
Item07 0 0 0 0 0 0 0 0 0 0
Item08 0 0 0 0 0 0 0 0 0 0
Item09 0 0 0 0 0 0 0 0 0 0
Item10 0 0 0 0 0 0 0 0 0 0
Item11 0 0 0 0 0 0 0 0 0 0
Item12 0 0 0 0 0 0 0 0 0 0
Item11 Item12
Item01 0 0
Item02 0 0
Item03 0 0
Item04 0 0
Item05 0 0
Item06 0 0
Item07 0 0
Item08 0 0
Item09 1 0
Item10 1 1
Item11 0 0
Item12 0 0





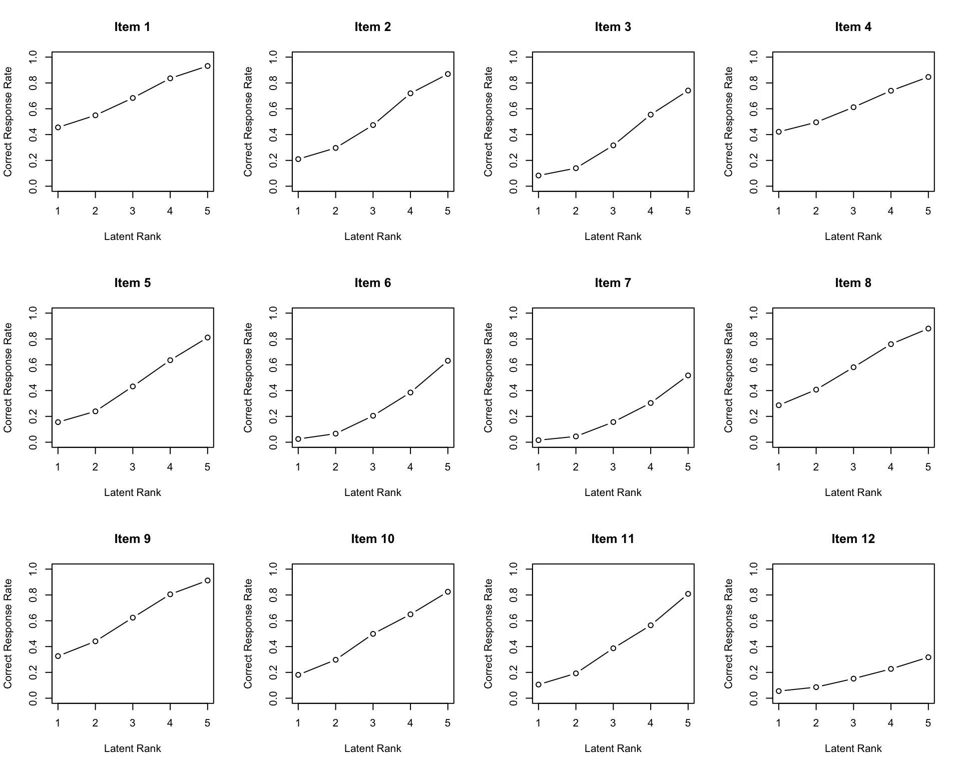
Parameter Learning
Item Rank PIRP 1 PIRP 2 PIRP 3 PIRP 4
1 Item01 1 0.456
2 Item02 1 0.030 0.444
3 Item03 1 0.083
4 Item04 1 0.421
5 Item05 1 0.101 0.240
6 Item06 1 0.025
7 Item07 1 0.016
8 Item08 1 0.286
9 Item09 1 0.326
10 Item10 1 0.181
11 Item11 1 0.106
12 Item12 1 0.055
13 Item01 2 0.549
14 Item02 2 0.035 0.568
15 Item03 2 0.020 0.459
16 Item04 2 0.495
17 Item05 2 0.148 0.351
18 Item06 2 0.066
19 Item07 2 0.045
20 Item08 2 0.407
21 Item09 2 0.264 0.734
22 Item10 2 0.081 0.133 0.159 0.745
23 Item11 2 0.041 0.445
24 Item12 2 0.086
25 Item01 3 0.683
26 Item02 3 0.040 0.728
27 Item03 3 0.032 0.617
28 Item04 3 0.612
29 Item05 3 0.227 0.556
30 Item06 3 0.205
31 Item07 3 0.156
32 Item08 3 0.581
33 Item09 3 0.330 0.845
34 Item10 3 0.092 0.160 0.211 0.843
35 Item11 3 0.056 0.636
36 Item12 3 0.152
37 Item01 4 0.836
38 Item02 4 0.720
39 Item03 4 0.058 0.713
40 Item04 4 0.740
41 Item05 4 0.635
42 Item06 4 0.008 0.105 0.023 0.684
43 Item07 4 0.010 0.031 0.039 0.542
44 Item08 4 0.760
45 Item09 4 0.805
46 Item10 4 0.150 0.844
47 Item11 4 0.064 0.124 0.105 0.825
48 Item12 4 0.227
49 Item01 5 0.931
50 Item02 5 0.869
51 Item03 5 0.099 0.789
52 Item04 5 0.846
53 Item05 5 0.811
54 Item06 5 0.015 0.125 0.040 0.788
55 Item07 5 0.016 0.034 0.064 0.650
56 Item08 5 0.880
57 Item09 5 0.912
58 Item10 5 0.825
59 Item11 5 0.082 0.190 0.216 0.915
60 Item12 5 0.153 0.341
Conditional Correct Response Rate
Child Item Rank N of Parents Parent Items PIRP Conditional CRR
1 Item01 1 0 No Parents No Pattern 0.45558
2 Item02 1 1 Item01 0 0.03025
3 Item02 1 1 Item01 1 0.44394
4 Item03 1 0 No Parents No Pattern 0.08278
5 Item04 1 0 No Parents No Pattern 0.42148
6 Item05 1 1 Item04 0 0.10127
7 Item05 1 1 Item04 1 0.24025
8 Item06 1 0 No Parents No Pattern 0.02499
9 Item07 1 0 No Parents No Pattern 0.01574
10 Item08 1 0 No Parents No Pattern 0.28642
11 Item09 1 0 No Parents No Pattern 0.32630
12 Item10 1 0 No Parents No Pattern 0.18092
13 Item11 1 0 No Parents No Pattern 0.10575
14 Item12 1 0 No Parents No Pattern 0.05523
15 Item01 2 0 No Parents No Pattern 0.54940
16 Item02 2 1 Item01 0 0.03471
17 Item02 2 1 Item01 1 0.56821
18 Item03 2 1 Item02 0 0.02016
19 Item03 2 1 Item02 1 0.45853
20 Item04 2 0 No Parents No Pattern 0.49508
21 Item05 2 1 Item04 0 0.14771
22 Item05 2 1 Item04 1 0.35073
23 Item06 2 0 No Parents No Pattern 0.06647
24 Item07 2 0 No Parents No Pattern 0.04491
25 Item08 2 0 No Parents No Pattern 0.40721
26 Item09 2 1 Item08 0 0.26431
27 Item09 2 1 Item08 1 0.73427
28 Item10 2 2 Item08, Item09 00 0.08098
29 Item10 2 2 Item08, Item09 01 0.13279
30 Item10 2 2 Item08, Item09 10 0.15937
31 Item10 2 2 Item08, Item09 11 0.74499
32 Item11 2 1 Item08 0 0.04094
33 Item11 2 1 Item08 1 0.44457
34 Item12 2 0 No Parents No Pattern 0.08574
35 Item01 3 0 No Parents No Pattern 0.68342
36 Item02 3 1 Item01 0 0.04020
37 Item02 3 1 Item01 1 0.72757
38 Item03 3 1 Item02 0 0.03175
39 Item03 3 1 Item02 1 0.61691
40 Item04 3 0 No Parents No Pattern 0.61195
41 Item05 3 1 Item04 0 0.22705
42 Item05 3 1 Item04 1 0.55588
43 Item06 3 0 No Parents No Pattern 0.20488
44 Item07 3 0 No Parents No Pattern 0.15633
45 Item08 3 0 No Parents No Pattern 0.58065
46 Item09 3 1 Item08 0 0.32967
47 Item09 3 1 Item08 1 0.84549
48 Item10 3 2 Item08, Item09 00 0.09192
49 Item10 3 2 Item08, Item09 01 0.15977
50 Item10 3 2 Item08, Item09 10 0.21087
51 Item10 3 2 Item08, Item09 11 0.84330
52 Item11 3 1 Item08 0 0.05581
53 Item11 3 1 Item08 1 0.63598
54 Item12 3 0 No Parents No Pattern 0.15169
55 Item01 4 0 No Parents No Pattern 0.83557
56 Item02 4 0 No Parents No Pattern 0.71950
57 Item03 4 1 Item02 0 0.05808
58 Item03 4 1 Item02 1 0.71297
59 Item04 4 0 No Parents No Pattern 0.73957
60 Item05 4 0 No Parents No Pattern 0.63526
61 Item06 4 2 Item04, Item05 00 0.00816
62 Item06 4 2 Item04, Item05 01 0.10474
63 Item06 4 2 Item04, Item05 10 0.02265
64 Item06 4 2 Item04, Item05 11 0.68419
65 Item07 4 2 Item04, Item05 00 0.00984
66 Item07 4 2 Item04, Item05 01 0.03091
67 Item07 4 2 Item04, Item05 10 0.03850
68 Item07 4 2 Item04, Item05 11 0.54195
69 Item08 4 0 No Parents No Pattern 0.75976
70 Item09 4 0 No Parents No Pattern 0.80490
71 Item10 4 1 Item08 0 0.14956
72 Item10 4 1 Item08 1 0.84430
73 Item11 4 2 Item08, Item09 00 0.06376
74 Item11 4 2 Item08, Item09 01 0.12384
75 Item11 4 2 Item08, Item09 10 0.10494
76 Item11 4 2 Item08, Item09 11 0.82451
77 Item12 4 0 No Parents No Pattern 0.22688
78 Item01 5 0 No Parents No Pattern 0.93131
79 Item02 5 0 No Parents No Pattern 0.86923
80 Item03 5 1 Item02 0 0.09865
81 Item03 5 1 Item02 1 0.78854
82 Item04 5 0 No Parents No Pattern 0.84621
83 Item05 5 0 No Parents No Pattern 0.81118
84 Item06 5 2 Item04, Item05 00 0.01452
85 Item06 5 2 Item04, Item05 01 0.12528
86 Item06 5 2 Item04, Item05 10 0.04000
87 Item06 5 2 Item04, Item05 11 0.78805
88 Item07 5 2 Item04, Item05 00 0.01570
89 Item07 5 2 Item04, Item05 01 0.03361
90 Item07 5 2 Item04, Item05 10 0.06363
91 Item07 5 2 Item04, Item05 11 0.65039
92 Item08 5 0 No Parents No Pattern 0.88028
93 Item09 5 0 No Parents No Pattern 0.91209
94 Item10 5 0 No Parents No Pattern 0.82476
95 Item11 5 2 Item09, Item10 00 0.08248
96 Item11 5 2 Item09, Item10 01 0.18951
97 Item11 5 2 Item09, Item10 10 0.21590
98 Item11 5 2 Item09, Item10 11 0.91466
99 Item12 5 1 Item10 0 0.15301
100 Item12 5 1 Item10 1 0.34114
Marginal Item Reference Profile
Rank 1 Rank 2 Rank 3 Rank 4 Rank 5
Item01 0.4556 0.5494 0.683 0.836 0.931
Item02 0.2099 0.2964 0.474 0.720 0.869
Item03 0.0828 0.1397 0.316 0.554 0.741
Item04 0.4215 0.4951 0.612 0.740 0.846
Item05 0.1555 0.2393 0.432 0.635 0.811
Item06 0.0250 0.0665 0.205 0.385 0.631
Item07 0.0157 0.0449 0.156 0.304 0.517
Item08 0.2864 0.4072 0.581 0.760 0.880
Item09 0.3263 0.4409 0.624 0.805 0.912
Item10 0.1809 0.2977 0.498 0.650 0.825
Item11 0.1057 0.1926 0.387 0.565 0.808
Item12 0.0552 0.0857 0.152 0.227 0.317
IRP Indices
Alpha A Beta B Gamma C
Item01 3 0.15215133 1 0.4555806 0 0
Item02 3 0.24578705 3 0.4737140 0 0
Item03 3 0.23808314 4 0.5544465 0 0
Item04 3 0.12762155 2 0.4950757 0 0
Item05 3 0.20322441 3 0.4320364 0 0
Item06 4 0.24595102 4 0.3851075 0 0
Item07 4 0.21361675 5 0.5173874 0 0
Item08 3 0.17910918 3 0.5806476 0 0
Item09 2 0.18320368 2 0.4408936 0 0
Item10 2 0.20070396 3 0.4984108 0 0
Item11 4 0.24332189 4 0.5650492 0 0
Item12 4 0.09047482 5 0.3173548 0 0
[1] "Strongly ordinal alignment condition was satisfied."
Test reference Profile and Latent Rank Distribution
Rank 1 Rank 2 Rank 3 Rank 4 Rank 5
Test Reference Profile 2.321 3.255 5.121 7.179 9.090
Latent Rank Ditribution 1829.000 593.000 759.000 569.000 1250.000
Rank Membership Distribution 1121.838 1087.855 873.796 835.528 1080.983
[1] "Weakly ordinal alignment condition was satisfied."
Model Fit Indices
value
model_log_like -26657.783
bench_log_like -21318.465
null_log_like -37736.228
model_Chi_sq 10678.636
null_Chi_sq 32835.527
model_df 56.000
null_df 144.000
NFI 0.675
RFI 0.164
IFI 0.676
TLI 0.164
CFI 0.675
RMSEA 0.195
AIC 10566.636
CAIC 10145.673
BIC 10201.673
8.1.3 可視化(baseグラフィックス)
plot(result.LDLRA, type = "IRP", nc = 4, nr = 3)
plot(result.LDLRA, type = "TRP")
plot(result.LDLRA, type = "LRD")
8.1.4 可視化(ggExametrika)
library(ggExametrika)plotIRP_gg(result.LDLRA)[[1]]
plotTRP_gg(result.LDLRA)
plotLRD_gg(result.LDLRA)
plotGraph_gg(result.LDLRA)Rank 1: Removing 8 isolated node(s)
Rank 2: Removing 3 isolated node(s)
Rank 3: Removing 3 isolated node(s)
Rank 4: Removing 2 isolated node(s)
Rank 5: Removing 2 isolated node(s)
[[1]]

[[2]]

[[3]]

[[4]]

[[5]]

8.1.5 構造学習:LDLRA_PBIL
DAGの構造が未知の場合は,LDLRA_PBIL()でPBILにより各ランクのDAGを自動学習できます。
result.LDLRA.PBIL <- LDLRA_PBIL(J35S515,
seed = 123, ncls = 5, method = "R",
elitism = 1, successiveLimit = 15,
verbose = FALSE
)Warning in LDLRA_PBIL(J35S515, seed = 123, ncls = 5, method = "R", elitism = 1,
: Too many survivers. Limit to 5
No ID column detected. All columns treated as response data. Sequential IDs (Student1, Student2, ...) were generated. Use id= parameter to specify the ID column explicitly.
result.LDLRA.PBILAdjacency Matrix
[[1]]
Item01 Item02 Item03 Item04 Item05 Item06 Item07 Item08 Item09 Item10
Item01 0 0 0 0 0 0 1 0 0 0
Item02 0 0 0 0 0 0 0 0 0 0
Item03 0 0 0 0 0 0 0 0 1 0
Item04 0 0 0 0 0 0 0 0 0 0
Item05 0 0 0 0 0 0 0 0 0 0
Item06 0 0 0 0 0 0 0 0 0 0
Item07 0 0 0 0 0 0 0 0 0 0
Item08 0 0 0 0 0 0 0 0 0 0
Item09 0 0 0 0 0 0 0 0 0 0
Item10 0 0 0 0 0 0 0 0 0 0
Item11 0 0 0 0 0 0 0 0 0 0
Item12 0 0 0 0 0 0 0 0 0 0
Item13 0 0 0 0 0 0 0 0 0 0
Item14 0 0 0 0 0 0 0 0 0 0
Item15 0 0 0 0 0 0 0 0 0 0
Item16 0 0 0 0 0 0 0 0 0 0
Item17 0 0 0 0 0 0 0 0 0 0
Item18 0 0 0 0 0 0 0 0 0 0
Item19 0 0 0 0 0 0 0 0 0 0
Item20 0 0 0 0 0 0 0 0 0 0
Item21 0 1 0 0 0 0 0 0 0 0
Item22 0 0 0 0 0 0 0 0 0 0
Item23 0 0 0 0 0 0 0 0 0 0
Item24 0 0 0 0 0 0 0 0 0 0
Item25 0 0 0 0 0 0 0 0 0 0
Item26 0 0 0 0 0 0 0 0 0 0
Item27 0 0 0 0 0 0 0 0 0 0
Item28 0 0 0 0 0 0 0 0 0 0
Item29 0 0 0 0 0 0 0 0 0 0
Item30 0 0 0 0 0 0 0 0 0 0
Item31 0 0 0 0 0 0 0 0 0 0
Item32 0 0 0 0 0 0 0 0 0 0
Item33 0 0 0 0 0 0 0 0 0 0
Item34 0 0 0 0 0 0 0 0 0 0
Item35 0 0 0 0 0 0 0 0 0 0
Item11 Item12 Item13 Item14 Item15 Item16 Item17 Item18 Item19 Item20
Item01 0 0 0 0 0 0 0 0 0 0
Item02 0 0 0 0 0 0 0 0 0 0
Item03 0 0 0 0 0 0 0 0 0 0
Item04 0 0 0 0 0 0 0 0 0 0
Item05 0 0 0 0 0 0 0 0 0 0
Item06 0 0 0 0 0 0 0 0 0 0
Item07 0 0 0 0 0 0 0 0 0 0
Item08 0 0 0 0 0 0 0 0 0 0
Item09 0 0 0 0 0 0 0 0 0 0
Item10 0 0 0 0 0 0 0 0 0 0
Item11 0 0 0 0 0 0 0 0 0 0
Item12 0 0 0 0 0 0 0 0 0 0
Item13 0 0 0 0 0 0 0 0 1 0
Item14 0 0 0 0 0 0 0 0 0 0
Item15 0 0 0 0 0 0 0 0 0 0
Item16 0 0 0 0 0 0 0 0 0 0
Item17 0 0 0 0 0 0 0 0 0 0
Item18 0 0 0 0 0 0 0 0 0 0
Item19 0 0 0 0 0 0 0 0 0 0
Item20 0 0 0 0 0 0 0 0 0 0
Item21 0 0 0 0 0 0 0 0 0 0
Item22 0 0 0 0 0 0 0 0 0 0
Item23 0 0 0 0 0 0 0 0 0 0
Item24 0 0 0 0 0 0 0 0 0 0
Item25 0 0 0 0 0 0 0 0 0 0
Item26 0 0 0 0 0 0 0 0 0 0
Item27 0 0 0 0 0 0 0 0 0 0
Item28 0 0 0 0 0 0 0 0 0 0
Item29 0 0 0 0 0 0 0 0 0 0
Item30 0 0 0 0 0 0 0 0 0 0
Item31 0 0 0 0 0 0 0 0 0 0
Item32 0 0 0 0 0 0 0 0 0 0
Item33 0 0 0 0 0 0 0 0 0 0
Item34 0 0 0 0 0 0 0 0 0 0
Item35 0 0 0 0 0 0 0 0 0 0
Item21 Item22 Item23 Item24 Item25 Item26 Item27 Item28 Item29 Item30
Item01 0 0 1 0 0 0 0 0 0 0
Item02 0 0 0 0 0 0 0 0 0 0
Item03 0 0 0 0 0 0 0 0 0 0
Item04 0 0 0 0 0 0 0 0 0 0
Item05 0 0 0 0 0 0 0 1 0 0
Item06 0 0 0 0 0 0 0 0 0 0
Item07 0 0 0 0 0 0 0 0 1 0
Item08 0 0 0 0 0 0 0 0 0 0
Item09 0 0 0 0 0 0 0 0 0 0
Item10 0 0 0 0 0 0 0 0 0 0
Item11 0 0 0 0 0 0 0 0 0 0
Item12 0 0 0 0 0 0 0 0 0 0
Item13 0 0 0 0 0 0 0 0 0 0
Item14 0 0 0 0 0 0 0 0 0 0
Item15 0 0 0 0 0 0 0 0 0 0
Item16 0 0 0 0 0 0 0 0 0 0
Item17 0 0 0 0 0 0 0 0 0 0
Item18 0 0 0 0 0 0 0 0 0 0
Item19 0 0 0 0 0 0 0 0 0 0
Item20 0 0 0 0 0 0 0 0 0 0
Item21 0 0 0 0 0 0 0 0 0 0
Item22 0 0 0 0 0 0 0 0 0 0
Item23 0 0 0 0 0 0 0 0 0 0
Item24 0 0 0 0 0 0 0 0 0 0
Item25 0 0 0 0 0 0 0 0 0 0
Item26 0 0 0 0 0 0 0 0 0 0
Item27 0 0 0 0 0 0 0 0 0 0
Item28 0 0 0 0 0 0 0 0 0 0
Item29 0 0 0 0 0 0 0 0 0 0
Item30 0 0 0 0 0 0 0 0 0 0
Item31 1 0 0 0 0 0 0 0 0 0
Item32 0 0 0 0 0 0 0 0 0 0
Item33 0 0 0 0 0 0 0 0 0 0
Item34 0 0 0 0 0 0 0 0 0 0
Item35 0 0 0 0 0 0 0 0 0 0
Item31 Item32 Item33 Item34 Item35
Item01 1 1 0 0 0
Item02 0 0 0 0 0
Item03 0 0 0 0 0
Item04 0 0 0 0 0
Item05 0 0 0 0 0
Item06 0 0 0 0 0
Item07 0 0 0 0 0
Item08 0 0 0 0 0
Item09 0 0 0 0 0
Item10 0 0 0 0 0
Item11 0 0 0 0 0
Item12 0 0 0 0 0
Item13 0 0 0 1 0
Item14 0 0 0 0 0
Item15 0 0 0 0 0
Item16 0 0 0 0 0
Item17 0 0 0 0 0
Item18 0 0 0 0 0
Item19 0 0 0 0 0
Item20 0 0 0 0 0
Item21 0 0 0 0 0
Item22 0 0 0 0 0
Item23 0 0 0 0 0
Item24 0 0 0 0 0
Item25 0 0 0 0 0
Item26 0 0 0 0 0
Item27 0 0 0 0 0
Item28 0 0 0 0 0
Item29 0 0 0 0 0
Item30 0 0 0 0 0
Item31 0 1 0 0 0
Item32 0 0 0 0 0
Item33 0 0 0 0 0
Item34 0 0 0 0 0
Item35 0 0 0 0 0
[[2]]
Item01 Item02 Item03 Item04 Item05 Item06 Item07 Item08 Item09 Item10
Item01 0 0 0 0 0 0 0 0 0 0
Item02 0 0 0 0 0 0 0 0 0 0
Item03 0 0 0 0 0 0 0 0 0 0
Item04 0 0 0 0 0 0 0 0 0 0
Item05 0 0 0 0 0 0 0 0 0 0
Item06 0 0 0 0 0 0 0 0 0 0
Item07 0 0 0 0 0 0 0 0 0 0
Item08 0 0 0 0 0 0 0 0 0 0
Item09 0 0 0 0 0 0 0 0 0 0
Item10 0 0 0 0 0 0 0 0 0 0
Item11 0 0 0 0 0 0 0 0 1 0
Item12 0 0 0 0 0 0 0 0 0 0
Item13 0 0 0 0 0 0 0 0 0 0
Item14 0 0 0 0 0 0 0 0 0 0
Item15 0 0 0 0 0 0 0 0 0 0
Item16 0 0 0 0 0 0 0 0 0 0
Item17 0 0 0 0 0 0 0 0 0 0
Item18 0 0 0 0 0 0 0 0 0 0
Item19 0 0 0 0 0 0 0 0 0 0
Item20 0 0 0 0 0 0 0 0 0 0
Item21 0 0 0 0 0 0 0 0 0 0
Item22 0 0 0 0 0 0 0 0 0 0
Item23 0 0 0 0 0 0 0 0 0 0
Item24 0 0 0 0 0 0 0 0 0 0
Item25 0 0 0 0 0 0 0 0 0 0
Item26 0 0 0 0 0 0 0 0 1 0
Item27 0 0 0 0 0 0 0 0 0 0
Item28 0 0 0 0 0 0 0 0 0 0
Item29 0 0 0 0 0 0 0 0 0 0
Item30 0 0 0 0 0 0 0 0 0 0
Item31 0 0 0 0 0 0 0 0 0 0
Item32 0 0 0 0 0 0 0 1 0 0
Item33 0 0 0 0 0 0 0 0 0 0
Item34 0 0 0 0 0 0 0 0 0 0
Item35 0 0 0 0 0 0 0 0 0 0
Item11 Item12 Item13 Item14 Item15 Item16 Item17 Item18 Item19 Item20
Item01 0 0 0 0 0 0 0 0 0 0
Item02 0 0 0 0 0 0 0 0 0 0
Item03 0 0 0 0 0 0 0 0 0 0
Item04 0 0 0 0 0 0 0 0 0 0
Item05 0 0 0 0 0 0 0 0 0 0
Item06 0 0 0 0 0 0 0 0 0 0
Item07 0 0 0 0 0 0 0 0 0 0
Item08 0 0 0 0 0 0 0 0 0 0
Item09 0 0 0 0 0 0 0 0 0 0
Item10 0 0 0 0 0 0 0 0 0 0
Item11 0 0 0 0 0 0 0 0 0 0
Item12 0 0 0 0 0 0 0 0 0 0
Item13 0 0 0 0 0 0 0 0 0 0
Item14 0 0 0 0 0 0 0 0 0 0
Item15 0 0 0 0 0 0 0 0 0 0
Item16 0 0 0 0 0 0 0 0 0 0
Item17 0 0 0 0 0 0 0 0 0 0
Item18 0 0 0 0 0 0 0 0 0 0
Item19 0 0 0 0 0 0 0 0 0 0
Item20 0 0 0 0 0 0 0 0 0 0
Item21 0 0 0 0 0 0 0 0 0 0
Item22 0 0 0 0 0 0 0 0 0 0
Item23 0 0 0 0 0 0 0 0 0 0
Item24 0 0 0 0 0 0 0 0 0 0
Item25 0 0 0 0 0 0 0 0 0 0
Item26 0 0 0 0 0 0 1 0 0 0
Item27 0 0 0 0 0 0 0 0 0 0
Item28 0 0 0 0 0 0 0 0 0 0
Item29 0 0 0 0 0 0 0 0 0 0
Item30 0 0 0 0 0 0 0 0 0 0
Item31 0 0 0 0 0 0 0 0 0 1
Item32 0 0 0 0 0 0 0 0 0 0
Item33 0 0 0 0 0 0 0 0 0 0
Item34 0 0 0 0 0 0 0 0 0 0
Item35 0 0 0 0 0 0 0 0 0 0
Item21 Item22 Item23 Item24 Item25 Item26 Item27 Item28 Item29 Item30
Item01 0 0 0 0 0 0 0 0 0 0
Item02 0 0 0 0 0 0 0 0 0 0
Item03 0 0 0 0 0 0 0 0 0 0
Item04 0 0 0 0 0 0 0 0 0 0
Item05 0 0 0 0 0 0 0 0 0 0
Item06 0 0 0 0 0 0 0 0 0 0
Item07 0 0 0 0 0 0 0 0 0 0
Item08 0 0 0 0 0 0 0 0 0 0
Item09 0 0 0 0 0 0 0 0 0 0
Item10 0 0 0 0 0 0 0 0 0 0
Item11 0 0 0 0 0 0 1 0 0 0
Item12 0 0 0 0 0 0 0 1 0 0
Item13 0 0 0 0 0 0 0 0 0 0
Item14 0 0 0 0 0 0 0 0 0 0
Item15 0 0 0 0 0 0 0 0 0 0
Item16 0 0 0 0 0 0 0 0 0 0
Item17 0 0 0 0 0 0 0 0 0 0
Item18 0 0 0 0 0 0 0 0 0 0
Item19 0 0 0 0 0 0 0 0 0 0
Item20 0 0 0 0 0 0 0 0 0 0
Item21 0 0 0 0 0 0 0 0 0 0
Item22 0 0 0 0 0 0 0 0 0 0
Item23 0 1 0 0 0 0 0 0 0 0
Item24 0 0 0 0 1 0 0 0 0 0
Item25 0 0 0 0 0 0 0 0 0 0
Item26 0 0 0 0 0 0 0 0 0 0
Item27 0 0 0 0 0 0 0 0 0 0
Item28 0 0 0 0 0 0 0 0 0 0
Item29 0 0 0 0 0 0 0 0 0 0
Item30 0 0 0 0 0 0 0 0 0 0
Item31 1 0 0 0 0 1 0 0 0 0
Item32 0 0 1 0 0 0 0 0 0 0
Item33 0 0 0 0 0 0 0 0 0 0
Item34 0 0 0 0 0 0 0 0 0 0
Item35 0 0 0 0 0 0 0 0 0 0
Item31 Item32 Item33 Item34 Item35
Item01 1 1 0 0 0
Item02 0 0 0 0 0
Item03 0 0 0 0 0
Item04 0 0 0 0 0
Item05 0 0 0 0 0
Item06 0 0 0 0 0
Item07 0 0 0 0 0
Item08 0 0 0 0 0
Item09 0 0 0 0 1
Item10 0 0 0 0 0
Item11 0 0 0 0 0
Item12 0 0 0 0 0
Item13 0 0 0 0 0
Item14 0 0 0 0 0
Item15 0 0 0 0 0
Item16 0 0 0 0 0
Item17 0 0 0 0 0
Item18 0 0 0 0 0
Item19 0 0 0 0 0
Item20 0 0 0 0 0
Item21 0 0 0 0 0
Item22 0 0 0 0 0
Item23 0 0 0 0 0
Item24 0 0 0 0 0
Item25 0 0 0 0 0
Item26 0 0 0 0 0
Item27 0 0 0 0 0
Item28 0 0 0 0 0
Item29 0 0 0 0 0
Item30 0 0 0 0 0
Item31 0 1 0 0 0
Item32 0 0 0 0 0
Item33 0 0 0 0 0
Item34 0 0 0 0 0
Item35 0 0 0 0 0
[[3]]
Item01 Item02 Item03 Item04 Item05 Item06 Item07 Item08 Item09 Item10
Item01 0 0 0 0 1 0 0 0 0 0
Item02 0 0 0 0 0 0 0 0 0 0
Item03 0 0 0 0 0 0 0 0 0 0
Item04 0 0 0 0 0 0 0 0 0 0
Item05 0 0 0 0 0 1 0 0 0 0
Item06 0 0 0 0 0 0 0 0 0 0
Item07 0 0 0 0 0 0 0 0 0 0
Item08 0 0 0 0 0 0 0 0 0 0
Item09 0 0 0 0 0 0 0 0 0 0
Item10 0 0 0 0 0 0 0 0 0 0
Item11 0 0 0 0 0 0 0 0 0 0
Item12 0 0 0 0 0 0 0 0 0 0
Item13 0 0 0 0 0 0 0 0 0 0
Item14 0 0 0 0 0 0 0 0 0 0
Item15 0 0 0 0 0 0 0 0 0 0
Item16 0 0 0 0 0 0 0 0 0 0
Item17 0 0 0 0 0 0 0 0 0 0
Item18 0 0 0 0 0 0 0 0 0 0
Item19 0 0 0 0 0 0 0 0 0 0
Item20 0 0 0 0 0 0 0 0 0 0
Item21 0 0 0 0 0 0 0 0 0 0
Item22 0 0 0 0 0 0 0 0 0 0
Item23 0 0 0 0 0 1 0 1 0 0
Item24 0 0 0 0 0 0 0 0 0 0
Item25 0 0 1 0 0 0 0 0 0 0
Item26 0 0 0 0 0 0 0 0 1 0
Item27 0 0 0 0 0 0 0 0 1 0
Item28 0 0 0 0 0 0 0 0 0 0
Item29 0 0 0 0 0 0 0 0 0 0
Item30 0 0 0 0 0 0 0 0 0 0
Item31 0 0 0 0 0 0 0 0 0 0
Item32 0 0 0 0 0 0 0 0 0 0
Item33 0 0 0 0 0 0 0 0 0 0
Item34 0 0 0 0 0 0 0 0 0 0
Item35 0 0 0 0 0 0 0 0 0 0
Item11 Item12 Item13 Item14 Item15 Item16 Item17 Item18 Item19 Item20
Item01 0 0 0 0 0 0 0 0 0 0
Item02 0 0 0 0 0 0 0 0 0 0
Item03 0 0 0 0 0 0 0 0 0 0
Item04 0 0 0 0 0 0 0 0 0 0
Item05 0 0 0 0 0 0 0 0 0 0
Item06 0 0 0 0 0 0 0 0 0 0
Item07 0 0 0 0 0 0 0 0 0 0
Item08 0 0 0 0 0 0 0 0 0 0
Item09 0 0 0 0 0 0 0 0 0 0
Item10 0 0 0 0 0 0 0 0 0 0
Item11 0 0 0 0 1 0 0 0 0 0
Item12 0 0 0 0 0 0 0 0 0 0
Item13 0 0 0 1 0 0 0 0 0 0
Item14 0 0 0 0 0 0 0 0 0 0
Item15 0 0 0 0 0 0 0 0 0 0
Item16 0 0 0 0 0 0 0 0 0 0
Item17 0 0 0 0 0 0 0 0 0 0
Item18 0 0 0 0 0 0 0 0 0 0
Item19 0 0 0 0 0 0 0 0 0 0
Item20 0 0 0 0 0 0 0 0 0 0
Item21 0 0 0 0 0 0 0 0 0 0
Item22 0 0 0 0 0 0 0 0 0 0
Item23 0 0 0 0 0 0 0 0 0 0
Item24 0 0 0 1 0 0 0 0 0 0
Item25 0 0 0 0 0 0 0 0 0 0
Item26 0 0 0 0 0 0 0 0 0 0
Item27 0 0 0 0 0 0 0 0 0 0
Item28 0 0 0 0 0 0 0 0 0 0
Item29 0 0 0 0 0 0 0 0 0 0
Item30 0 0 0 0 0 0 0 0 0 0
Item31 0 0 0 0 0 0 0 0 0 0
Item32 0 0 0 0 0 0 0 0 0 0
Item33 0 0 0 0 0 0 0 0 0 0
Item34 0 0 0 0 0 0 0 0 0 0
Item35 0 0 0 0 0 0 0 0 0 0
Item21 Item22 Item23 Item24 Item25 Item26 Item27 Item28 Item29 Item30
Item01 1 0 0 0 0 0 0 0 0 0
Item02 0 0 0 0 0 0 0 0 0 0
Item03 0 0 0 0 0 0 0 0 0 0
Item04 0 0 0 0 0 0 0 0 1 0
Item05 0 0 0 0 0 0 0 0 0 0
Item06 0 0 0 0 0 0 0 0 0 0
Item07 0 0 0 0 0 0 0 0 0 0
Item08 0 0 0 0 0 0 0 0 0 0
Item09 0 0 0 0 0 0 0 0 0 0
Item10 0 0 0 0 0 0 0 0 0 0
Item11 0 0 0 0 0 0 0 0 0 0
Item12 0 0 0 0 0 0 0 0 0 0
Item13 0 0 0 0 0 0 0 0 0 0
Item14 0 0 0 0 0 0 0 0 0 0
Item15 0 0 0 0 0 0 0 0 0 0
Item16 0 0 0 0 0 0 0 0 0 0
Item17 0 0 0 0 0 0 0 0 0 0
Item18 0 0 0 0 0 0 0 0 0 0
Item19 0 0 0 0 0 0 0 0 0 0
Item20 0 0 0 0 0 0 0 0 0 0
Item21 0 0 0 0 0 0 0 0 0 0
Item22 0 0 0 0 0 0 0 0 0 0
Item23 0 1 0 0 0 0 0 0 0 0
Item24 0 0 0 0 0 0 0 0 0 0
Item25 0 0 0 0 0 0 0 0 0 0
Item26 0 0 0 0 0 0 1 0 0 0
Item27 0 0 0 0 0 0 0 0 0 0
Item28 0 0 0 0 0 0 0 0 0 0
Item29 0 0 0 0 0 0 0 0 0 0
Item30 0 0 0 0 0 0 0 0 0 0
Item31 1 0 1 0 1 0 0 0 0 0
Item32 0 0 0 0 0 0 0 0 0 0
Item33 0 0 0 0 0 0 0 0 0 0
Item34 0 0 0 0 0 0 0 1 0 0
Item35 0 0 0 0 0 0 0 0 0 0
Item31 Item32 Item33 Item34 Item35
Item01 1 0 0 0 0
Item02 0 0 0 0 0
Item03 0 0 0 0 0
Item04 0 0 0 0 0
Item05 0 0 0 0 0
Item06 0 0 0 0 0
Item07 0 0 0 0 0
Item08 0 0 0 0 0
Item09 0 0 0 0 0
Item10 0 0 0 0 0
Item11 0 0 0 0 0
Item12 0 0 0 0 0
Item13 0 0 0 0 0
Item14 0 0 0 0 0
Item15 0 0 0 0 0
Item16 0 0 0 0 0
Item17 0 0 0 0 0
Item18 0 0 0 0 0
Item19 0 0 0 0 0
Item20 0 0 0 0 0
Item21 0 0 0 0 0
Item22 0 0 0 0 0
Item23 0 0 0 0 0
Item24 0 0 0 0 0
Item25 0 0 1 0 0
Item26 0 0 0 0 0
Item27 0 0 0 0 0
Item28 0 0 0 0 0
Item29 0 0 0 0 0
Item30 0 0 0 0 0
Item31 0 0 0 0 0
Item32 0 0 0 0 0
Item33 0 0 0 0 0
Item34 0 0 0 0 0
Item35 0 0 0 0 0
[[4]]
Item01 Item02 Item03 Item04 Item05 Item06 Item07 Item08 Item09 Item10
Item01 0 0 0 0 0 0 0 0 0 0
Item02 0 0 0 0 0 0 0 0 0 0
Item03 0 0 0 1 0 0 0 0 0 0
Item04 0 0 0 0 0 0 0 0 0 0
Item05 0 0 0 0 0 0 0 0 0 0
Item06 0 0 0 0 0 0 0 0 0 0
Item07 0 0 0 0 0 0 0 0 0 0
Item08 0 0 0 0 0 0 0 0 0 0
Item09 0 0 0 0 0 0 0 0 0 0
Item10 0 0 0 0 0 0 0 0 0 0
Item11 0 0 0 0 1 0 0 0 0 0
Item12 0 0 0 0 0 0 0 0 0 0
Item13 0 0 0 0 0 0 0 0 0 0
Item14 0 0 0 0 0 0 0 0 0 0
Item15 0 0 0 0 0 0 0 0 0 0
Item16 0 0 0 0 0 0 0 0 0 0
Item17 0 0 0 0 0 0 0 0 0 0
Item18 0 0 0 0 0 0 0 0 0 0
Item19 0 0 0 0 0 0 0 0 0 0
Item20 0 0 0 0 0 0 0 0 0 0
Item21 0 0 0 0 0 0 0 0 0 0
Item22 0 0 0 0 0 0 0 0 0 0
Item23 0 0 0 1 0 0 0 0 0 0
Item24 0 0 0 0 0 0 0 0 0 0
Item25 0 0 0 0 0 0 0 0 0 0
Item26 0 0 0 0 0 0 0 0 0 0
Item27 0 0 0 0 0 0 0 0 0 0
Item28 0 0 0 0 0 0 0 0 0 0
Item29 0 0 0 0 0 0 0 0 0 0
Item30 0 0 0 0 0 0 0 0 0 0
Item31 0 0 0 0 0 0 0 0 0 0
Item32 0 0 0 0 0 0 0 0 0 0
Item33 0 0 0 0 0 0 0 0 0 0
Item34 0 0 0 0 0 0 0 0 0 0
Item35 0 0 0 0 0 0 0 0 0 0
Item11 Item12 Item13 Item14 Item15 Item16 Item17 Item18 Item19 Item20
Item01 0 0 0 0 0 0 0 0 0 0
Item02 0 0 0 0 0 0 0 0 0 0
Item03 0 0 0 0 0 0 0 0 0 0
Item04 0 0 0 0 0 0 0 0 0 0
Item05 0 0 0 0 0 1 0 0 0 0
Item06 0 0 0 0 0 0 0 0 0 0
Item07 0 0 0 0 0 0 0 0 0 0
Item08 0 0 0 0 0 0 1 0 0 0
Item09 0 0 0 0 0 0 0 0 0 0
Item10 0 0 0 0 0 0 0 0 0 1
Item11 0 0 0 0 0 0 0 0 0 0
Item12 0 0 0 0 0 0 0 0 0 0
Item13 0 0 0 0 0 0 0 1 0 0
Item14 0 0 0 0 0 0 0 0 0 0
Item15 0 0 0 0 0 0 0 0 0 0
Item16 0 0 0 0 0 0 0 0 0 0
Item17 0 0 0 0 0 0 0 0 0 0
Item18 0 0 0 0 0 0 0 0 0 0
Item19 0 0 0 0 0 0 0 0 0 0
Item20 0 0 0 0 0 0 0 0 0 0
Item21 0 0 1 0 0 0 0 0 0 0
Item22 0 0 0 0 0 0 0 0 0 0
Item23 0 0 0 0 0 0 0 0 0 0
Item24 0 0 0 0 0 0 0 0 0 0
Item25 0 0 0 0 0 0 0 0 0 0
Item26 0 0 0 0 0 0 0 0 0 0
Item27 0 0 0 0 0 0 0 0 0 0
Item28 0 0 0 0 0 0 0 0 0 0
Item29 0 0 0 0 0 0 0 0 0 0
Item30 0 0 0 0 0 0 0 0 0 0
Item31 0 0 0 0 0 0 0 0 0 0
Item32 0 0 0 0 0 0 0 0 0 0
Item33 0 0 0 0 0 0 0 0 0 0
Item34 0 0 0 0 0 0 0 0 0 0
Item35 0 0 0 0 0 0 0 0 0 0
Item21 Item22 Item23 Item24 Item25 Item26 Item27 Item28 Item29 Item30
Item01 0 0 0 0 0 0 0 0 0 0
Item02 0 0 0 0 0 0 0 0 0 0
Item03 0 0 0 0 0 0 0 0 0 0
Item04 0 0 0 0 0 0 0 0 0 0
Item05 0 0 0 0 0 0 0 0 0 0
Item06 0 0 0 0 0 0 0 0 0 0
Item07 0 0 0 0 0 0 0 0 0 0
Item08 0 0 0 0 0 0 0 0 0 0
Item09 0 0 0 0 0 0 0 0 0 0
Item10 0 0 0 0 0 0 0 0 0 0
Item11 0 0 0 0 0 0 0 0 0 0
Item12 0 0 0 0 0 0 0 0 0 0
Item13 0 0 0 0 0 0 0 0 0 0
Item14 0 0 0 0 0 0 0 0 0 0
Item15 0 0 0 0 0 0 0 0 0 0
Item16 0 0 0 0 0 0 0 0 0 0
Item17 0 0 0 0 0 0 0 0 0 0
Item18 0 0 0 0 0 0 0 0 0 0
Item19 0 0 0 0 0 0 0 0 0 0
Item20 0 0 0 0 0 0 0 0 0 0
Item21 0 0 0 0 0 0 0 0 0 0
Item22 0 0 0 0 0 0 0 0 0 0
Item23 0 1 0 0 0 0 0 0 0 0
Item24 0 0 0 0 1 0 0 0 0 0
Item25 0 0 0 0 0 0 0 0 0 0
Item26 0 0 0 0 0 0 0 0 0 0
Item27 0 0 0 0 0 0 0 0 0 0
Item28 0 0 0 0 0 0 0 0 0 0
Item29 0 0 0 0 0 0 0 0 0 0
Item30 0 0 0 0 0 0 0 0 0 0
Item31 0 0 1 0 0 0 0 0 0 0
Item32 1 0 0 1 0 0 0 0 0 0
Item33 0 0 0 0 0 0 0 0 0 0
Item34 0 0 0 0 0 0 0 0 0 0
Item35 0 0 0 0 0 0 0 0 0 0
Item31 Item32 Item33 Item34 Item35
Item01 1 1 0 0 0
Item02 0 0 0 0 0
Item03 0 0 0 0 0
Item04 0 0 0 0 0
Item05 0 0 0 0 0
Item06 0 0 0 0 0
Item07 0 0 0 0 0
Item08 0 0 0 0 0
Item09 0 0 0 0 0
Item10 0 0 0 0 0
Item11 0 0 0 0 1
Item12 0 0 0 0 0
Item13 0 0 0 0 0
Item14 0 0 0 0 0
Item15 0 0 0 0 0
Item16 0 0 0 0 1
Item17 0 0 0 1 0
Item18 0 0 0 0 0
Item19 0 0 0 0 0
Item20 0 0 0 0 0
Item21 0 0 0 0 0
Item22 0 0 0 0 0
Item23 0 0 0 0 0
Item24 0 0 0 0 0
Item25 0 0 0 0 0
Item26 0 0 0 0 0
Item27 0 0 0 0 0
Item28 0 0 0 0 0
Item29 0 0 0 0 0
Item30 0 0 0 0 0
Item31 0 0 0 0 0
Item32 0 0 0 0 0
Item33 0 0 0 0 0
Item34 0 0 0 0 0
Item35 0 0 0 0 0
[[5]]
Item01 Item02 Item03 Item04 Item05 Item06 Item07 Item08 Item09 Item10
Item01 0 0 0 0 0 0 0 0 0 0
Item02 0 0 0 0 0 0 0 0 0 0
Item03 0 0 0 0 0 0 0 0 0 0
Item04 0 0 0 0 0 0 0 0 0 0
Item05 0 0 0 0 0 0 0 0 0 0
Item06 0 0 0 0 0 0 0 0 0 0
Item07 0 0 0 0 0 0 0 1 0 0
Item08 0 0 0 0 0 0 0 0 0 0
Item09 0 0 0 0 0 0 0 0 0 1
Item10 0 0 0 0 0 0 0 0 0 0
Item11 0 0 0 0 0 1 0 0 0 0
Item12 0 0 0 0 0 0 0 0 0 0
Item13 0 0 0 0 0 0 0 0 0 0
Item14 0 0 0 0 0 0 0 0 0 0
Item15 0 0 0 0 0 0 0 0 0 0
Item16 0 0 0 0 0 0 0 0 0 0
Item17 0 0 0 0 1 0 0 0 0 0
Item18 0 0 0 0 0 0 0 0 0 0
Item19 0 0 0 0 0 0 0 0 0 0
Item20 0 0 0 0 0 0 0 0 0 0
Item21 0 0 0 0 0 0 0 0 0 0
Item22 0 0 0 0 0 0 0 0 0 0
Item23 0 0 0 0 0 0 0 0 0 0
Item24 0 0 0 0 0 0 0 0 0 0
Item25 0 0 0 0 0 0 0 0 0 0
Item26 0 0 0 0 0 0 0 0 0 0
Item27 0 0 0 0 0 0 0 0 0 0
Item28 0 0 0 0 0 0 0 0 0 0
Item29 0 0 0 0 0 0 0 0 0 0
Item30 0 0 0 0 0 0 0 0 0 0
Item31 0 0 0 0 0 0 0 0 0 0
Item32 0 0 0 0 0 0 0 0 0 0
Item33 0 0 0 0 0 0 0 0 0 0
Item34 0 0 0 0 0 0 0 0 0 0
Item35 0 0 0 0 0 0 0 0 0 0
Item11 Item12 Item13 Item14 Item15 Item16 Item17 Item18 Item19 Item20
Item01 0 0 0 0 0 0 0 0 0 0
Item02 0 0 0 0 0 0 0 0 0 0
Item03 0 0 0 0 0 0 0 0 0 0
Item04 0 0 0 0 0 0 0 0 1 0
Item05 0 0 0 0 0 0 0 1 0 0
Item06 0 0 0 0 0 0 0 0 0 0
Item07 0 0 0 0 0 0 0 0 0 0
Item08 0 1 0 0 0 0 0 0 0 0
Item09 0 0 0 0 0 0 0 0 0 0
Item10 0 0 0 0 0 0 0 0 0 0
Item11 0 0 0 0 0 0 0 0 1 0
Item12 0 0 0 0 0 0 0 0 0 0
Item13 0 0 0 0 0 0 0 0 0 0
Item14 0 0 0 0 0 0 0 0 0 0
Item15 0 0 0 0 0 0 0 0 0 0
Item16 0 0 0 0 0 0 0 0 0 0
Item17 0 0 0 0 0 0 0 0 0 0
Item18 0 0 0 0 0 0 0 0 0 0
Item19 0 0 0 0 0 0 0 0 0 0
Item20 0 0 0 0 0 0 0 0 0 0
Item21 0 0 0 0 0 0 0 0 0 0
Item22 0 0 0 0 0 0 0 0 0 0
Item23 0 0 0 0 0 0 0 0 0 0
Item24 0 0 0 0 0 0 0 0 0 0
Item25 0 0 0 0 0 0 0 1 0 0
Item26 0 0 0 0 0 0 0 0 0 0
Item27 0 0 0 0 0 0 0 0 0 0
Item28 0 0 0 0 0 0 0 0 0 0
Item29 0 0 0 0 0 0 0 0 0 0
Item30 0 0 0 0 0 0 0 0 0 0
Item31 0 0 0 0 0 0 0 0 0 0
Item32 0 0 0 0 0 0 0 0 0 0
Item33 0 0 0 0 0 0 0 0 0 0
Item34 0 0 0 0 0 0 0 0 0 0
Item35 0 0 0 0 0 0 0 0 0 0
Item21 Item22 Item23 Item24 Item25 Item26 Item27 Item28 Item29 Item30
Item01 0 0 0 0 0 0 0 0 0 0
Item02 0 0 0 0 0 0 0 0 0 0
Item03 0 0 0 0 0 0 0 0 0 0
Item04 0 0 0 0 0 0 0 0 0 0
Item05 0 0 0 0 0 0 0 0 0 0
Item06 0 0 0 0 0 0 0 0 0 0
Item07 0 0 0 0 0 0 0 0 0 0
Item08 0 0 0 0 0 0 0 1 0 0
Item09 0 0 0 0 0 0 0 0 0 0
Item10 0 0 0 0 0 0 0 0 0 0
Item11 0 0 0 0 0 0 0 0 0 0
Item12 0 0 0 0 0 0 0 0 0 0
Item13 0 0 0 0 0 0 0 0 0 0
Item14 0 0 0 0 0 0 0 0 0 0
Item15 0 0 0 0 0 0 0 0 0 0
Item16 0 0 0 0 0 0 0 0 0 1
Item17 0 0 0 0 0 0 0 0 0 0
Item18 0 0 0 0 0 0 0 0 0 0
Item19 0 0 0 0 0 0 0 0 0 0
Item20 0 0 0 0 0 0 0 0 0 0
Item21 0 0 1 0 0 0 0 0 0 0
Item22 0 0 0 0 0 0 0 0 0 0
Item23 0 1 0 0 0 0 0 0 0 0
Item24 0 0 0 0 0 0 0 0 0 0
Item25 0 0 0 0 0 0 0 0 0 0
Item26 0 0 0 0 0 0 0 0 0 0
Item27 0 0 0 0 0 0 0 0 0 0
Item28 0 0 0 0 0 0 0 0 0 0
Item29 0 0 0 0 0 0 0 0 0 0
Item30 0 0 0 0 0 0 0 0 0 0
Item31 1 0 0 0 0 0 0 0 0 0
Item32 1 0 0 0 0 0 0 0 0 0
Item33 0 0 0 0 0 0 0 0 0 0
Item34 0 0 0 0 0 0 0 0 0 0
Item35 0 0 0 0 0 0 0 0 0 0
Item31 Item32 Item33 Item34 Item35
Item01 0 0 0 0 0
Item02 0 0 0 0 0
Item03 0 0 0 0 0
Item04 0 0 0 0 0
Item05 0 0 0 0 0
Item06 0 0 0 0 0
Item07 0 0 0 0 0
Item08 0 0 0 0 0
Item09 0 0 0 0 0
Item10 0 0 0 0 0
Item11 0 0 0 0 0
Item12 0 0 0 0 0
Item13 0 0 0 0 0
Item14 0 0 0 0 0
Item15 0 0 0 0 0
Item16 0 0 0 0 0
Item17 0 0 0 0 0
Item18 0 0 0 0 0
Item19 0 0 0 0 0
Item20 0 0 0 0 0
Item21 0 0 0 0 0
Item22 0 0 0 0 0
Item23 0 0 0 0 0
Item24 0 0 0 0 0
Item25 0 0 0 0 0
Item26 0 0 0 0 0
Item27 0 0 0 0 0
Item28 0 0 0 0 0
Item29 0 0 0 0 0
Item30 0 0 0 0 0
Item31 0 1 0 0 0
Item32 0 0 0 0 0
Item33 0 0 0 0 0
Item34 0 0 0 0 0
Item35 0 0 0 0 0





Parameter Learning
Item Rank PIRP 1 PIRP 2 PIRP 3 PIRP 4
1 Item01 1 0.710
2 Item02 1 0.073 0.256
3 Item03 1 0.236
4 Item04 1 0.079
5 Item05 1 0.061
6 Item06 1 0.040
7 Item07 1 0.398 0.429
8 Item08 1 0.258
9 Item09 1 0.227 0.246
10 Item10 1 0.192
11 Item11 1 0.133
12 Item12 1 0.111
13 Item13 1 0.088
14 Item14 1 0.013
15 Item15 1 0.014
16 Item16 1 0.058
17 Item17 1 0.125
18 Item18 1 0.030
19 Item19 1 0.035 0.079
20 Item20 1 0.028
21 Item21 1 0.174 0.298
22 Item22 1 0.226
23 Item23 1 0.301 0.304
24 Item24 1 0.231
25 Item25 1 0.133
26 Item26 1 0.092
27 Item27 1 0.106
28 Item28 1 0.017 0.112
29 Item29 1 0.061 0.069
30 Item30 1 0.027
31 Item31 1 0.645 0.706
32 Item32 1 0.484 0.801 0.543 0.809
33 Item33 1 0.312
34 Item34 1 0.183 0.239
35 Item35 1 0.098
36 Item01 2 0.802
37 Item02 2 0.231
38 Item03 2 0.331
39 Item04 2 0.157
40 Item05 2 0.124
41 Item06 2 0.094
42 Item07 2 0.480
43 Item08 2 0.276 0.285
44 Item09 2 0.239 0.302 0.348 0.436
45 Item10 2 0.258
46 Item11 2 0.282
47 Item12 2 0.173
48 Item13 2 0.114
49 Item14 2 0.030
50 Item15 2 0.020
51 Item16 2 0.081
52 Item17 2 0.143 0.216
53 Item18 2 0.026
54 Item19 2 0.029
55 Item20 2 0.050 0.036
56 Item21 2 0.307 0.522
57 Item22 2 0.317 0.586
58 Item23 2 0.361 0.456
59 Item24 2 0.386
60 Item25 2 0.133 0.520
61 Item26 2 0.167 0.242
62 Item27 2 0.158 0.331
63 Item28 2 0.046 0.149
64 Item29 2 0.100
65 Item30 2 0.040
66 Item31 2 0.659 0.773
67 Item32 2 0.497 0.782 0.564 0.839
68 Item33 2 0.354
69 Item34 2 0.196
70 Item35 2 0.131 0.106
71 Item01 3 0.877
72 Item02 3 0.417
73 Item03 3 0.434 0.523
74 Item04 3 0.308
75 Item05 3 0.097 0.284
76 Item06 3 0.047 0.024 0.775 0.778
77 Item07 3 0.577
78 Item08 3 0.327 0.354
79 Item09 3 0.301 0.311 0.440 0.503
80 Item10 3 0.366
81 Item11 3 0.501
82 Item12 3 0.316
83 Item13 3 0.201
84 Item14 3 0.041 0.072 0.271 0.437
85 Item15 3 0.024 0.133
86 Item16 3 0.185
87 Item17 3 0.247
88 Item18 3 0.041
89 Item19 3 0.045
90 Item20 3 0.050
91 Item21 3 0.366 0.390 0.502 0.781
92 Item22 3 0.416 0.787
93 Item23 3 0.436 0.669
94 Item24 3 0.598
95 Item25 3 0.354 0.548
96 Item26 3 0.456
97 Item27 3 0.098 0.761
98 Item28 3 0.163 0.295
99 Item29 3 0.171 0.301
100 Item30 3 0.082
101 Item31 3 0.662 0.833
102 Item32 3 0.814
103 Item33 3 0.366 0.480
104 Item34 3 0.232
105 Item35 3 0.155
106 Item01 4 0.950
107 Item02 4 0.595
108 Item03 4 0.618
109 Item04 4 0.157 0.082 0.677 0.695
110 Item05 4 0.168 0.449
111 Item06 4 0.329
112 Item07 4 0.688
113 Item08 4 0.408
114 Item09 4 0.499
115 Item10 4 0.470
116 Item11 4 0.740
117 Item12 4 0.496
118 Item13 4 0.198 0.334
119 Item14 4 0.194
120 Item15 4 0.128
121 Item16 4 0.248 0.417
122 Item17 4 0.335 0.410
123 Item18 4 0.019 0.182
124 Item19 4 0.066
125 Item20 4 0.038 0.128
126 Item21 4 0.802 0.912
127 Item22 4 0.636 0.912
128 Item23 4 0.672 0.858
129 Item24 4 0.757 0.849
130 Item25 4 0.253 0.883
131 Item26 4 0.751
132 Item27 4 0.656
133 Item28 4 0.363
134 Item29 4 0.340
135 Item30 4 0.131
136 Item31 4 0.685 0.900
137 Item32 4 0.640 0.860
138 Item33 4 0.520
139 Item34 4 0.207 0.344
140 Item35 4 0.157 0.269 0.166 0.327
141 Item01 5 0.967
142 Item02 5 0.739
143 Item03 5 0.732
144 Item04 5 0.614
145 Item05 5 0.457 0.591
146 Item06 5 0.157 0.527
147 Item07 5 0.759
148 Item08 5 0.454 0.511
149 Item09 5 0.627
150 Item10 5 0.319 0.710
151 Item11 5 0.885
152 Item12 5 0.628 0.723
153 Item13 5 0.502
154 Item14 5 0.335
155 Item15 5 0.244
156 Item16 5 0.492
157 Item17 5 0.533
158 Item18 5 0.171 0.048 0.181 0.211
159 Item19 5 0.104 0.031 0.229 0.206
160 Item20 5 0.131
161 Item21 5 0.631 0.799 0.901 0.971
162 Item22 5 0.727 0.959
163 Item23 5 0.622 0.941
164 Item24 5 0.941
165 Item25 5 0.915
166 Item26 5 0.902
167 Item27 5 0.824
168 Item28 5 0.488 0.614
169 Item29 5 0.496
170 Item30 5 0.101 0.309
171 Item31 5 0.930
172 Item32 5 0.628 0.899
173 Item33 5 0.616
174 Item34 5 0.318
175 Item35 5 0.260
Conditional Correct Response Rate
Child Item Rank N of Parents Parent Items PIRP Conditional CRR
1 Item01 1 0 No Parents No Pattern 0.7104
2 Item02 1 1 Item21 0 0.0725
3 Item02 1 1 Item21 1 0.2563
4 Item03 1 0 No Parents No Pattern 0.2360
5 Item04 1 0 No Parents No Pattern 0.0789
6 Item05 1 0 No Parents No Pattern 0.0608
7 Item06 1 0 No Parents No Pattern 0.0400
8 Item07 1 1 Item01 0 0.3979
9 Item07 1 1 Item01 1 0.4292
10 Item08 1 0 No Parents No Pattern 0.2581
11 Item09 1 1 Item03 0 0.2275
12 Item09 1 1 Item03 1 0.2465
13 Item10 1 0 No Parents No Pattern 0.1916
14 Item11 1 0 No Parents No Pattern 0.1325
15 Item12 1 0 No Parents No Pattern 0.1111
16 Item13 1 0 No Parents No Pattern 0.0884
17 Item14 1 0 No Parents No Pattern 0.0134
18 Item15 1 0 No Parents No Pattern 0.0139
19 Item16 1 0 No Parents No Pattern 0.0578
20 Item17 1 0 No Parents No Pattern 0.1253
21 Item18 1 0 No Parents No Pattern 0.0303
22 Item19 1 1 Item13 0 0.0354
23 Item19 1 1 Item13 1 0.0795
24 Item20 1 0 No Parents No Pattern 0.0283
25 Item21 1 1 Item31 0 0.1737
26 Item21 1 1 Item31 1 0.2978
27 Item22 1 0 No Parents No Pattern 0.2256
28 Item23 1 1 Item01 0 0.3009
29 Item23 1 1 Item01 1 0.3036
30 Item24 1 0 No Parents No Pattern 0.2312
31 Item25 1 0 No Parents No Pattern 0.1329
32 Item26 1 0 No Parents No Pattern 0.0922
33 Item27 1 0 No Parents No Pattern 0.1058
34 Item28 1 1 Item05 0 0.0166
35 Item28 1 1 Item05 1 0.1120
36 Item29 1 1 Item07 0 0.0611
37 Item29 1 1 Item07 1 0.0693
38 Item30 1 0 No Parents No Pattern 0.0275
39 Item31 1 1 Item01 0 0.6446
40 Item31 1 1 Item01 1 0.7056
41 Item32 1 2 Item01, Item31 00 0.4841
42 Item32 1 2 Item01, Item31 01 0.8011
43 Item32 1 2 Item01, Item31 10 0.5430
44 Item32 1 2 Item01, Item31 11 0.8090
45 Item33 1 0 No Parents No Pattern 0.3122
46 Item34 1 1 Item13 0 0.1826
47 Item34 1 1 Item13 1 0.2390
48 Item35 1 0 No Parents No Pattern 0.0985
49 Item01 2 0 No Parents No Pattern 0.8019
50 Item02 2 0 No Parents No Pattern 0.2314
51 Item03 2 0 No Parents No Pattern 0.3315
52 Item04 2 0 No Parents No Pattern 0.1574
53 Item05 2 0 No Parents No Pattern 0.1245
54 Item06 2 0 No Parents No Pattern 0.0938
55 Item07 2 0 No Parents No Pattern 0.4805
56 Item08 2 1 Item32 0 0.2758
57 Item08 2 1 Item32 1 0.2853
58 Item09 2 2 Item11, Item26 00 0.2390
59 Item09 2 2 Item11, Item26 01 0.3025
60 Item09 2 2 Item11, Item26 10 0.3484
61 Item09 2 2 Item11, Item26 11 0.4357
62 Item10 2 0 No Parents No Pattern 0.2584
63 Item11 2 0 No Parents No Pattern 0.2817
64 Item12 2 0 No Parents No Pattern 0.1729
65 Item13 2 0 No Parents No Pattern 0.1141
66 Item14 2 0 No Parents No Pattern 0.0304
67 Item15 2 0 No Parents No Pattern 0.0204
68 Item16 2 0 No Parents No Pattern 0.0814
69 Item17 2 1 Item26 0 0.1429
70 Item17 2 1 Item26 1 0.2164
71 Item18 2 0 No Parents No Pattern 0.0261
72 Item19 2 0 No Parents No Pattern 0.0287
73 Item20 2 1 Item31 0 0.0498
74 Item20 2 1 Item31 1 0.0362
75 Item21 2 1 Item31 0 0.3073
76 Item21 2 1 Item31 1 0.5221
77 Item22 2 1 Item23 0 0.3171
78 Item22 2 1 Item23 1 0.5862
79 Item23 2 1 Item32 0 0.3612
80 Item23 2 1 Item32 1 0.4558
81 Item24 2 0 No Parents No Pattern 0.3861
82 Item25 2 1 Item24 0 0.1334
83 Item25 2 1 Item24 1 0.5204
84 Item26 2 1 Item31 0 0.1670
85 Item26 2 1 Item31 1 0.2420
86 Item27 2 1 Item11 0 0.1581
87 Item27 2 1 Item11 1 0.3310
88 Item28 2 1 Item12 0 0.0458
89 Item28 2 1 Item12 1 0.1493
90 Item29 2 0 No Parents No Pattern 0.1001
91 Item30 2 0 No Parents No Pattern 0.0402
92 Item31 2 1 Item01 0 0.6591
93 Item31 2 1 Item01 1 0.7730
94 Item32 2 2 Item01, Item31 00 0.4973
95 Item32 2 2 Item01, Item31 01 0.7824
96 Item32 2 2 Item01, Item31 10 0.5641
97 Item32 2 2 Item01, Item31 11 0.8388
98 Item33 2 0 No Parents No Pattern 0.3538
99 Item34 2 0 No Parents No Pattern 0.1957
100 Item35 2 1 Item09 0 0.1307
101 Item35 2 1 Item09 1 0.1056
102 Item01 3 0 No Parents No Pattern 0.8766
103 Item02 3 0 No Parents No Pattern 0.4172
104 Item03 3 1 Item25 0 0.4344
105 Item03 3 1 Item25 1 0.5228
106 Item04 3 0 No Parents No Pattern 0.3078
107 Item05 3 1 Item01 0 0.0972
108 Item05 3 1 Item01 1 0.2836
109 Item06 3 2 Item05, Item23 00 0.0471
110 Item06 3 2 Item05, Item23 01 0.0239
111 Item06 3 2 Item05, Item23 10 0.7752
112 Item06 3 2 Item05, Item23 11 0.7779
113 Item07 3 0 No Parents No Pattern 0.5768
114 Item08 3 1 Item23 0 0.3271
115 Item08 3 1 Item23 1 0.3542
116 Item09 3 2 Item26, Item27 00 0.3008
117 Item09 3 2 Item26, Item27 01 0.3107
118 Item09 3 2 Item26, Item27 10 0.4403
119 Item09 3 2 Item26, Item27 11 0.5028
120 Item10 3 0 No Parents No Pattern 0.3665
121 Item11 3 0 No Parents No Pattern 0.5008
122 Item12 3 0 No Parents No Pattern 0.3162
123 Item13 3 0 No Parents No Pattern 0.2012
124 Item14 3 2 Item13, Item24 00 0.0414
125 Item14 3 2 Item13, Item24 01 0.0721
126 Item14 3 2 Item13, Item24 10 0.2709
127 Item14 3 2 Item13, Item24 11 0.4372
128 Item15 3 1 Item11 0 0.0244
129 Item15 3 1 Item11 1 0.1329
130 Item16 3 0 No Parents No Pattern 0.1848
131 Item17 3 0 No Parents No Pattern 0.2474
132 Item18 3 0 No Parents No Pattern 0.0408
133 Item19 3 0 No Parents No Pattern 0.0450
134 Item20 3 0 No Parents No Pattern 0.0495
135 Item21 3 2 Item01, Item31 00 0.3659
136 Item21 3 2 Item01, Item31 01 0.3898
137 Item21 3 2 Item01, Item31 10 0.5020
138 Item21 3 2 Item01, Item31 11 0.7812
139 Item22 3 1 Item23 0 0.4160
140 Item22 3 1 Item23 1 0.7868
141 Item23 3 1 Item31 0 0.4360
142 Item23 3 1 Item31 1 0.6688
143 Item24 3 0 No Parents No Pattern 0.5984
144 Item25 3 1 Item31 0 0.3543
145 Item25 3 1 Item31 1 0.5483
146 Item26 3 0 No Parents No Pattern 0.4555
147 Item27 3 1 Item26 0 0.0977
148 Item27 3 1 Item26 1 0.7606
149 Item28 3 1 Item34 0 0.1633
150 Item28 3 1 Item34 1 0.2946
151 Item29 3 1 Item04 0 0.1713
152 Item29 3 1 Item04 1 0.3011
153 Item30 3 0 No Parents No Pattern 0.0821
154 Item31 3 1 Item01 0 0.6618
155 Item31 3 1 Item01 1 0.8333
156 Item32 3 0 No Parents No Pattern 0.8141
157 Item33 3 1 Item25 0 0.3665
158 Item33 3 1 Item25 1 0.4800
159 Item34 3 0 No Parents No Pattern 0.2321
160 Item35 3 0 No Parents No Pattern 0.1546
161 Item01 4 0 No Parents No Pattern 0.9497
162 Item02 4 0 No Parents No Pattern 0.5947
163 Item03 4 0 No Parents No Pattern 0.6182
164 Item04 4 2 Item03, Item23 00 0.1572
165 Item04 4 2 Item03, Item23 01 0.0821
166 Item04 4 2 Item03, Item23 10 0.6769
167 Item04 4 2 Item03, Item23 11 0.6946
168 Item05 4 1 Item11 0 0.1677
169 Item05 4 1 Item11 1 0.4492
170 Item06 4 0 No Parents No Pattern 0.3285
171 Item07 4 0 No Parents No Pattern 0.6876
172 Item08 4 0 No Parents No Pattern 0.4083
173 Item09 4 0 No Parents No Pattern 0.4991
174 Item10 4 0 No Parents No Pattern 0.4701
175 Item11 4 0 No Parents No Pattern 0.7402
176 Item12 4 0 No Parents No Pattern 0.4962
177 Item13 4 1 Item21 0 0.1981
178 Item13 4 1 Item21 1 0.3335
179 Item14 4 0 No Parents No Pattern 0.1940
180 Item15 4 0 No Parents No Pattern 0.1281
181 Item16 4 1 Item05 0 0.2483
182 Item16 4 1 Item05 1 0.4170
183 Item17 4 1 Item08 0 0.3349
184 Item17 4 1 Item08 1 0.4103
185 Item18 4 1 Item13 0 0.0188
186 Item18 4 1 Item13 1 0.1821
187 Item19 4 0 No Parents No Pattern 0.0657
188 Item20 4 1 Item10 0 0.0383
189 Item20 4 1 Item10 1 0.1284
190 Item21 4 1 Item32 0 0.8020
191 Item21 4 1 Item32 1 0.9118
192 Item22 4 1 Item23 0 0.6357
193 Item22 4 1 Item23 1 0.9125
194 Item23 4 1 Item31 0 0.6720
195 Item23 4 1 Item31 1 0.8585
196 Item24 4 1 Item32 0 0.7567
197 Item24 4 1 Item32 1 0.8491
198 Item25 4 1 Item24 0 0.2533
199 Item25 4 1 Item24 1 0.8835
200 Item26 4 0 No Parents No Pattern 0.7507
201 Item27 4 0 No Parents No Pattern 0.6559
202 Item28 4 0 No Parents No Pattern 0.3633
203 Item29 4 0 No Parents No Pattern 0.3401
204 Item30 4 0 No Parents No Pattern 0.1310
205 Item31 4 1 Item01 0 0.6849
206 Item31 4 1 Item01 1 0.9001
207 Item32 4 1 Item01 0 0.6398
208 Item32 4 1 Item01 1 0.8596
209 Item33 4 0 No Parents No Pattern 0.5199
210 Item34 4 1 Item17 0 0.2075
211 Item34 4 1 Item17 1 0.3444
212 Item35 4 2 Item11, Item16 00 0.1565
213 Item35 4 2 Item11, Item16 01 0.2690
214 Item35 4 2 Item11, Item16 10 0.1658
215 Item35 4 2 Item11, Item16 11 0.3272
216 Item01 5 0 No Parents No Pattern 0.9674
217 Item02 5 0 No Parents No Pattern 0.7392
218 Item03 5 0 No Parents No Pattern 0.7320
219 Item04 5 0 No Parents No Pattern 0.6143
220 Item05 5 1 Item17 0 0.4570
221 Item05 5 1 Item17 1 0.5908
222 Item06 5 1 Item11 0 0.1572
223 Item06 5 1 Item11 1 0.5268
224 Item07 5 0 No Parents No Pattern 0.7591
225 Item08 5 1 Item07 0 0.4539
226 Item08 5 1 Item07 1 0.5110
227 Item09 5 0 No Parents No Pattern 0.6270
228 Item10 5 1 Item09 0 0.3187
229 Item10 5 1 Item09 1 0.7098
230 Item11 5 0 No Parents No Pattern 0.8853
231 Item12 5 1 Item08 0 0.6280
232 Item12 5 1 Item08 1 0.7234
233 Item13 5 0 No Parents No Pattern 0.5022
234 Item14 5 0 No Parents No Pattern 0.3348
235 Item15 5 0 No Parents No Pattern 0.2438
236 Item16 5 0 No Parents No Pattern 0.4923
237 Item17 5 0 No Parents No Pattern 0.5326
238 Item18 5 2 Item05, Item25 00 0.1711
239 Item18 5 2 Item05, Item25 01 0.0482
240 Item18 5 2 Item05, Item25 10 0.1809
241 Item18 5 2 Item05, Item25 11 0.2111
242 Item19 5 2 Item04, Item11 00 0.1040
243 Item19 5 2 Item04, Item11 01 0.0311
244 Item19 5 2 Item04, Item11 10 0.2288
245 Item19 5 2 Item04, Item11 11 0.2065
246 Item20 5 0 No Parents No Pattern 0.1309
247 Item21 5 2 Item31, Item32 00 0.6312
248 Item21 5 2 Item31, Item32 01 0.7986
249 Item21 5 2 Item31, Item32 10 0.9008
250 Item21 5 2 Item31, Item32 11 0.9715
251 Item22 5 1 Item23 0 0.7273
252 Item22 5 1 Item23 1 0.9585
253 Item23 5 1 Item21 0 0.6220
254 Item23 5 1 Item21 1 0.9412
255 Item24 5 0 No Parents No Pattern 0.9410
256 Item25 5 0 No Parents No Pattern 0.9148
257 Item26 5 0 No Parents No Pattern 0.9019
258 Item27 5 0 No Parents No Pattern 0.8242
259 Item28 5 1 Item08 0 0.4880
260 Item28 5 1 Item08 1 0.6142
261 Item29 5 0 No Parents No Pattern 0.4960
262 Item30 5 1 Item16 0 0.1008
263 Item30 5 1 Item16 1 0.3090
264 Item31 5 0 No Parents No Pattern 0.9299
265 Item32 5 1 Item31 0 0.6278
266 Item32 5 1 Item31 1 0.8989
267 Item33 5 0 No Parents No Pattern 0.6160
268 Item34 5 0 No Parents No Pattern 0.3181
269 Item35 5 0 No Parents No Pattern 0.2602
Marginal Item Reference Profile
Rank 1 Rank 2 Rank 3 Rank 4 Rank 5
Item01 0.7104 0.8019 0.8766 0.9497 0.967
Item02 0.0957 0.2314 0.4172 0.5947 0.739
Item03 0.2360 0.3315 0.4774 0.6182 0.732
Item04 0.0789 0.1574 0.3078 0.4316 0.614
Item05 0.0608 0.1245 0.2751 0.3886 0.550
Item06 0.0400 0.0938 0.2827 0.3285 0.520
Item07 0.4183 0.4805 0.5768 0.6876 0.759
Item08 0.2581 0.2834 0.3445 0.4083 0.501
Item09 0.2308 0.2753 0.3750 0.4991 0.627
Item10 0.1916 0.2584 0.3665 0.4701 0.606
Item11 0.1325 0.2817 0.5008 0.7402 0.885
Item12 0.1111 0.1729 0.3162 0.4962 0.682
Item13 0.0884 0.1141 0.2012 0.3305 0.502
Item14 0.0134 0.0304 0.1007 0.1940 0.335
Item15 0.0139 0.0204 0.0888 0.1281 0.244
Item16 0.0578 0.0814 0.1848 0.2941 0.492
Item17 0.1253 0.1548 0.2474 0.3624 0.533
Item18 0.0303 0.0261 0.0408 0.0487 0.155
Item19 0.0384 0.0287 0.0450 0.0657 0.161
Item20 0.0283 0.0391 0.0495 0.0758 0.131
Item21 0.2576 0.4755 0.7174 0.8948 0.955
Item22 0.2256 0.4260 0.6539 0.8968 0.955
Item23 0.3027 0.4369 0.6292 0.8418 0.939
Item24 0.2312 0.3861 0.5984 0.8347 0.941
Item25 0.1329 0.2833 0.5152 0.8528 0.915
Item26 0.0922 0.2257 0.4555 0.7507 0.902
Item27 0.1058 0.1985 0.3572 0.6559 0.824
Item28 0.0180 0.0589 0.1966 0.3633 0.559
Item29 0.0643 0.1001 0.2182 0.3401 0.496
Item30 0.0275 0.0402 0.0821 0.1310 0.239
Item31 0.6844 0.7566 0.8254 0.8934 0.930
Item32 0.7139 0.7705 0.8141 0.8527 0.886
Item33 0.3122 0.3538 0.4217 0.5199 0.616
Item34 0.1866 0.1957 0.2321 0.2429 0.318
Item35 0.0985 0.1239 0.1546 0.1967 0.260
IRP Indices
Alpha A Beta B Gamma C
Item01 1 0.09147897 1 0.7104169 0.00 0.000000000
Item02 2 0.18575838 3 0.4171962 0.00 0.000000000
Item03 2 0.14596474 3 0.4774193 0.00 0.000000000
Item04 4 0.18270703 4 0.4316332 0.00 0.000000000
Item05 4 0.16182210 5 0.5504280 0.00 0.000000000
Item06 4 0.19192621 5 0.5204344 0.00 0.000000000
Item07 3 0.11078674 2 0.4804693 0.00 0.000000000
Item08 4 0.09271153 5 0.5009651 0.00 0.000000000
Item09 4 0.12790164 4 0.4991280 0.00 0.000000000
Item10 4 0.13606029 4 0.4700913 0.00 0.000000000
Item11 3 0.23945895 3 0.5007893 0.00 0.000000000
Item12 4 0.18559983 4 0.4961763 0.00 0.000000000
Item13 4 0.17168271 5 0.5022082 0.00 0.000000000
Item14 4 0.14087675 5 0.3348446 0.00 0.000000000
Item15 4 0.11578699 5 0.2438481 0.00 0.000000000
Item16 4 0.19823273 5 0.4923369 0.00 0.000000000
Item17 4 0.17017469 5 0.5325965 0.00 0.000000000
Item18 4 0.10679453 5 0.1554454 0.25 -0.004248974
Item19 4 0.09483464 5 0.1605088 0.25 -0.009740845
Item20 4 0.05504400 5 0.1308940 0.00 0.000000000
Item21 2 0.24190430 2 0.4755097 0.00 0.000000000
Item22 3 0.24291837 2 0.4259656 0.00 0.000000000
Item23 3 0.21261028 2 0.4369185 0.00 0.000000000
Item24 3 0.23639488 3 0.5983545 0.00 0.000000000
Item25 3 0.33752441 3 0.5152274 0.00 0.000000000
Item26 3 0.29514977 3 0.4555486 0.00 0.000000000
Item27 3 0.29864648 3 0.3572087 0.00 0.000000000
Item28 4 0.19588834 5 0.5591385 0.00 0.000000000
Item29 4 0.15593083 5 0.4960204 0.00 0.000000000
Item30 4 0.10842632 5 0.2394654 0.00 0.000000000
Item31 1 0.07218040 1 0.6843920 0.00 0.000000000
Item32 1 0.05661584 1 0.7139340 0.00 0.000000000
Item33 3 0.09815971 4 0.5199007 0.00 0.000000000
Item34 4 0.07524326 5 0.3181130 0.00 0.000000000
Item35 4 0.06353034 5 0.2601808 0.00 0.000000000
Test reference Profile and Latent Rank Distribution
Rank 1 Rank 2 Rank 3 Rank 4 Rank 5
Test Reference Profile 6.413 8.819 12.947 17.380 21.472
Latent Rank Ditribution 181.000 60.000 83.000 82.000 109.000
Rank Membership Distribution 165.388 78.163 81.015 80.658 109.777
[1] "Weakly ordinal alignment condition was satisfied."
Model Fit Indices
value
model_log_like -7796.306
bench_log_like -5891.314
null_log_like -9862.114
model_Chi_sq 3809.985
null_Chi_sq 7941.601
model_df 921.000
null_df 1155.000
NFI 0.520
RFI 0.398
IFI 0.588
TLI 0.466
CFI 0.574
RMSEA 0.078
AIC 1967.985
CAIC -2861.893
BIC -1940.893
8.2 局所依存バイクラスタリング(LDB)
LDBは,バイクラスタリングとBNMを組み合わせたモデルです。各ランク内における項目フィールド間の関係を分析します。ノードはフィールドであり,項目が自然なグループを形成し階層的な関係を持つ場合に最適です。
8.2.1 設定
confで項目のフィールド割り当てを指定し,DAGファイルでフィールド間の依存関係をランクごとに指定します。
conf <- c(
1, 6, 6, 8, 9, 9, 4, 7, 7, 7, 5, 8, 9, 10, 10,
9, 9, 10, 10, 10, 2, 2, 3, 3, 5, 5, 6, 9, 9, 10,
1, 1, 7, 9, 10
)
edges_data <- data.frame(
"From Field (Parent) >>>" = c(
6, 4, 5, 1, 1, 4,
3, 4, 6, 2, 4, 4,
3, 6, 4, 1,
7, 9, 6, 7
),
">>> To Field (Child)" = c(
8, 7, 8, 7, 2, 5,
5, 8, 8, 4, 6, 7,
5, 8, 5, 8,
10, 10, 8, 9
),
"At Class/Rank (Locus)" = c(
2, 2, 2, 2, 2, 2,
3, 3, 3, 3, 3, 3,
4, 4, 4, 4,
5, 5, 5, 5
)
)
edgeFile <- tempfile(fileext = ".csv")
write.csv(edges_data, file = edgeFile, row.names = FALSE)8.2.2 LDBの実行
サンプルデータJ35S515を使用します。
result.LDB <- LDB(U = J35S515, ncls = 5, conf = conf, adj_file = edgeFile, verbose = FALSE)No ID column detected. All columns treated as response data. Sequential IDs (Student1, Student2, ...) were generated. Use id= parameter to specify the ID column explicitly.
No ID column detected. All columns treated as response data. Sequential IDs (Student1, Student2, ...) were generated. Use id= parameter to specify the ID column explicitly.
result.LDBAdjacency Matrix
[[1]]
Field01 Field02 Field03 Field04 Field05 Field06 Field07 Field08 Field09
Field01 0 0 0 0 0 0 0 0 0
Field02 0 0 0 0 0 0 0 0 0
Field03 0 0 0 0 0 0 0 0 0
Field04 0 0 0 0 0 0 0 0 0
Field05 0 0 0 0 0 0 0 0 0
Field06 0 0 0 0 0 0 0 0 0
Field07 0 0 0 0 0 0 0 0 0
Field08 0 0 0 0 0 0 0 0 0
Field09 0 0 0 0 0 0 0 0 0
Field10 0 0 0 0 0 0 0 0 0
Field10
Field01 0
Field02 0
Field03 0
Field04 0
Field05 0
Field06 0
Field07 0
Field08 0
Field09 0
Field10 0
[[2]]
Field01 Field02 Field03 Field04 Field05 Field06 Field07 Field08 Field09
Field01 0 1 0 0 0 0 1 0 0
Field02 0 0 0 0 0 0 0 0 0
Field03 0 0 0 0 0 0 0 0 0
Field04 0 0 0 0 1 0 1 0 0
Field05 0 0 0 0 0 0 0 1 0
Field06 0 0 0 0 0 0 0 1 0
Field07 0 0 0 0 0 0 0 0 0
Field08 0 0 0 0 0 0 0 0 0
Field09 0 0 0 0 0 0 0 0 0
Field10 0 0 0 0 0 0 0 0 0
Field10
Field01 0
Field02 0
Field03 0
Field04 0
Field05 0
Field06 0
Field07 0
Field08 0
Field09 0
Field10 0
[[3]]
Field01 Field02 Field03 Field04 Field05 Field06 Field07 Field08 Field09
Field01 0 0 0 0 0 0 0 0 0
Field02 0 0 0 1 0 0 0 0 0
Field03 0 0 0 0 1 0 0 0 0
Field04 0 0 0 0 0 1 1 1 0
Field05 0 0 0 0 0 0 0 0 0
Field06 0 0 0 0 0 0 0 1 0
Field07 0 0 0 0 0 0 0 0 0
Field08 0 0 0 0 0 0 0 0 0
Field09 0 0 0 0 0 0 0 0 0
Field10 0 0 0 0 0 0 0 0 0
Field10
Field01 0
Field02 0
Field03 0
Field04 0
Field05 0
Field06 0
Field07 0
Field08 0
Field09 0
Field10 0
[[4]]
Field01 Field02 Field03 Field04 Field05 Field06 Field07 Field08 Field09
Field01 0 0 0 0 0 0 0 1 0
Field02 0 0 0 0 0 0 0 0 0
Field03 0 0 0 0 1 0 0 0 0
Field04 0 0 0 0 1 0 0 0 0
Field05 0 0 0 0 0 0 0 0 0
Field06 0 0 0 0 0 0 0 1 0
Field07 0 0 0 0 0 0 0 0 0
Field08 0 0 0 0 0 0 0 0 0
Field09 0 0 0 0 0 0 0 0 0
Field10 0 0 0 0 0 0 0 0 0
Field10
Field01 0
Field02 0
Field03 0
Field04 0
Field05 0
Field06 0
Field07 0
Field08 0
Field09 0
Field10 0
[[5]]
Field01 Field02 Field03 Field04 Field05 Field06 Field07 Field08 Field09
Field01 0 0 0 0 0 0 0 0 0
Field02 0 0 0 0 0 0 0 0 0
Field03 0 0 0 0 0 0 0 0 0
Field04 0 0 0 0 0 0 0 0 0
Field05 0 0 0 0 0 0 0 0 0
Field06 0 0 0 0 0 0 0 1 0
Field07 0 0 0 0 0 0 0 0 1
Field08 0 0 0 0 0 0 0 0 0
Field09 0 0 0 0 0 0 0 0 0
Field10 0 0 0 0 0 0 0 0 0
Field10
Field01 0
Field02 0
Field03 0
Field04 0
Field05 0
Field06 0
Field07 1
Field08 0
Field09 1
Field10 0





Parameter Learning
Rank 1
PIRP 0 PIRP 1 PIRP 2 PIRP 3 PIRP 4 PIRP 5 PIRP 6 PIRP 7 PIRP 8 PIRP 9
Field01 0.6538
Field02 0.0756
Field03 0.1835
Field04 0.3819
Field05 0.0500
Field06 0.0985
Field07 0.2176
Field08 0.0608
Field09 0.0563
Field10 0.0237
PIRP 10 PIRP 11 PIRP 12
Field01
Field02
Field03
Field04
Field05
Field06
Field07
Field08
Field09
Field10
Rank 2
PIRP 0 PIRP 1 PIRP 2 PIRP 3 PIRP 4 PIRP 5 PIRP 6 PIRP 7 PIRP 8 PIRP 9
Field01 0.8216
Field02 0.1463 0.3181 0.383 0.597
Field03 0.3320
Field04 0.4931
Field05 0.1596 0.2552
Field06 0.2541
Field07 0.1232 0.2926 0.217 0.306 0.376
Field08 0.0648 0.0887 0.236 0.443 0.196 0.285 0.624
Field09 0.1101
Field10 0.0359
PIRP 10 PIRP 11 PIRP 12
Field01
Field02
Field03
Field04
Field05
Field06
Field07
Field08
Field09
Field10
Rank 3
PIRP 0 PIRP 1 PIRP 2 PIRP 3 PIRP 4 PIRP 5 PIRP 6 PIRP 7 PIRP 8 PIRP 9
Field01 0.8923
Field02 0.8736
Field03 0.8030
Field04 0.4730 0.492 0.650
Field05 0.2732 0.319 0.714
Field06 0.4025 0.486
Field07 0.3162 0.408
Field08 0.1028 0.166 0.177 0.439 0.59
Field09 0.1799
Field10 0.0431
PIRP 10 PIRP 11 PIRP 12
Field01
Field02
Field03
Field04
Field05
Field06
Field07
Field08
Field09
Field10
Rank 4
PIRP 0 PIRP 1 PIRP 2 PIRP 3 PIRP 4 PIRP 5 PIRP 6 PIRP 7 PIRP 8
Field01 0.91975
Field02 0.97126
Field03 0.96955
Field04 0.70098
Field05 0.28691 0.476702 0.911 0.952
Field06 0.72620
Field07 0.48152
Field08 0.00353 0.000122 0.370 0.370 0.401 0.532 0.779
Field09 0.36220
Field10 0.08630
PIRP 9 PIRP 10 PIRP 11 PIRP 12
Field01
Field02
Field03
Field04
Field05
Field06
Field07
Field08
Field09
Field10
Rank 5
PIRP 0 PIRP 1 PIRP 2 PIRP 3 PIRP 4 PIRP 5 PIRP 6 PIRP 7 PIRP 8 PIRP 9
Field01 0.9627
Field02 0.9959
Field03 0.9947
Field04 0.8654
Field05 0.9939
Field06 0.9178
Field07 0.7334
Field08 0.5109 0.4442 0.5939 0.9174
Field09 0.4062 0.5193 0.6496 0.6786 0.851
Field10 0.0874 0.0278 0.0652 0.0429 0.110 0.117 0.118 0.163 0.217 0.275
PIRP 10 PIRP 11 PIRP 12
Field01
Field02
Field03
Field04
Field05
Field06
Field07
Field08
Field09
Field10 0.262 0.257 0.95
Marginal Rankluster Reference Matrix
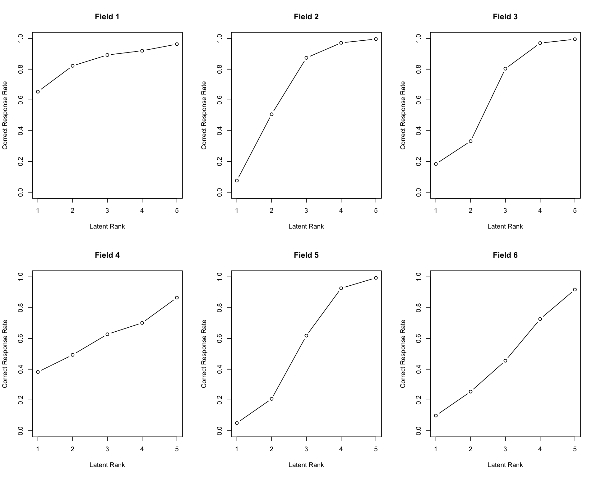
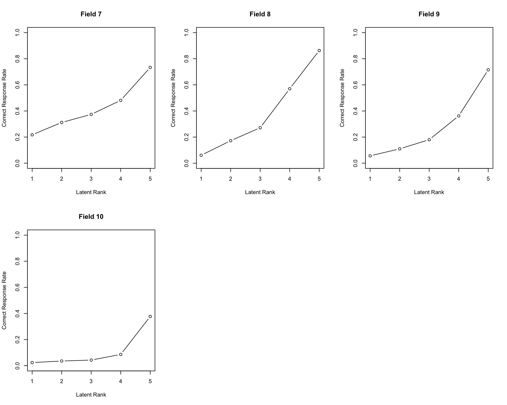
Rank 1 Rank 2 Rank 3 Rank 4 Rank 5
Field01 0.6538 0.8216 0.8923 0.9198 0.963
Field02 0.0756 0.5069 0.8736 0.9713 0.996
Field03 0.1835 0.3320 0.8030 0.9696 0.995
Field04 0.3819 0.4931 0.6271 0.7010 0.865
Field05 0.0500 0.2072 0.6182 0.9263 0.994
Field06 0.0985 0.2541 0.4550 0.7262 0.918
Field07 0.2176 0.3119 0.3738 0.4815 0.733
Field08 0.0608 0.1723 0.2718 0.5700 0.863
Field09 0.0563 0.1101 0.1799 0.3622 0.715
Field10 0.0237 0.0359 0.0431 0.0863 0.377
IRP Indices
Alpha A Beta B Gamma C
Field01 1 0.1677977 1 0.6538429 0 0
Field02 1 0.4312713 2 0.5068824 0 0
Field03 2 0.4710088 2 0.3320336 0 0
Field04 4 0.1643891 2 0.4930958 0 0
Field05 2 0.4110466 3 0.6182062 0 0
Field06 3 0.2712108 3 0.4549879 0 0
Field07 4 0.2518684 4 0.4815211 0 0
Field08 3 0.2982121 4 0.5699954 0 0
Field09 4 0.3528379 4 0.3621986 0 0
Field10 4 0.2906998 5 0.3769977 0 0
Rank 1 Rank 2 Rank 3 Rank 4 Rank 5
Test Reference Profile 4.915 8.744 13.657 18.867 26.488
Latent Rank Ditribution 163.000 91.000 102.000 91.000 68.000
Rank Membership Dsitribution 148.275 103.002 105.606 86.100 72.017
Latent Field Distribution
Field 1 Field 2 Field 3 Field 4 Field 5 Field 6 Field 7 Field 8
N of Items 3 2 2 1 3 3 4 2
Field 9 Field 10
N of Items 8 7
Model Fit Indices
value
model_log_like -6804.899
bench_log_like -5891.314
null_log_like -9862.114
model_Chi_sq 1827.169
null_Chi_sq 7941.601
model_df 1088.000
null_df 1155.000
NFI 0.770
RFI 0.756
IFI 0.892
TLI 0.884
CFI 0.891
RMSEA 0.036
AIC -348.831
CAIC -6054.485
BIC -4966.485
Strongly ordinal alignment condition was satisfied.
8.2.3 可視化(baseグラフィックス)
plot(result.LDB, type = "Array")
plot(result.LDB, type = "TRP")
plot(result.LDB, type = "LRD")
plot(result.LDB, type = "RMP", students = 1:9, nc = 3, nr = 3)
plot(result.LDB, type = "FRP", nc = 3, nr = 2)

FieldPIRPは,各ランクとフィールドにおける正答数を可視化します。
plot(result.LDB, type = "FieldPIRP")




8.2.4 可視化(ggExametrika)
plotArray_gg(result.LDB)
TableGrob (1 x 2) "arrange": 2 grobs
z cells name grob
1 1 (1-1,1-1) arrange gtable[layout]
2 2 (1-1,2-2) arrange gtable[layout]
plotTRP_gg(result.LDB)
plotLRD_gg(result.LDB)
plotRMP_gg(result.LDB)[[1]]
plotFRP_gg(result.LDB, fields = 1)
plotFieldPIRP_gg(result.LDB)[[1]]
Warning: Removed 120 rows containing missing values or values outside the scale range
(`geom_line()`).
`geom_line()`: Each group consists of only one observation.
ℹ Do you need to adjust the group aesthetic?
Warning: Removed 120 rows containing missing values or values outside the scale range
(`geom_text()`).

[[2]]
Warning: Removed 106 rows containing missing values or values outside the scale range
(`geom_line()`).
Warning: Removed 106 rows containing missing values or values outside the scale range
(`geom_text()`).

[[3]]
Warning: Removed 110 rows containing missing values or values outside the scale range
(`geom_line()`).
Warning: Removed 110 rows containing missing values or values outside the scale range
(`geom_text()`).

[[4]]
Warning: Removed 111 rows containing missing values or values outside the scale range
(`geom_line()`).
Warning: Removed 113 rows containing missing values or values outside the scale range
(`geom_text()`).

[[5]]
Warning: Removed 101 rows containing missing values or values outside the scale range
(`geom_line()`).
Warning: Removed 101 rows containing missing values or values outside the scale range
(`geom_text()`).

8.3 バイクラスターネットワークモデル(BINET)
BINETは,バイクラスタリングとクラスレベルのネットワーク分析を組み合わせたモデルです。LDBではノードがフィールドでしたが,BINETではノードがクラスであり,各フィールド内でのクラス遷移を検討します。
8.3.1 設定
conf <- c(
1, 5, 5, 5, 9, 9, 6, 6, 6, 6, 2, 7, 7, 11, 11,
7, 7, 12, 12, 12, 2, 2, 3, 3, 4, 4, 4, 8, 8, 12,
1, 1, 6, 10, 10
)
edges_data <- data.frame(
"From Class (Parent) >>>" = c(
1, 2, 3, 4, 5, 7,
2, 4, 6, 8, 10,
6, 6, 11, 8, 9, 12
),
">>> To Class (Child)" = c(
2, 4, 5, 5, 6, 11,
3, 7, 9, 12, 12,
10, 8, 12, 12, 11, 13
),
"At Field (Locus)" = c(
1, 2, 2, 3, 4, 4,
5, 5, 5, 5, 5,
7, 8, 8, 9, 9, 12
)
)
edgeFile <- tempfile(fileext = ".csv")
write.csv(edges_data, file = edgeFile, row.names = FALSE)8.3.2 BINETの実行
サンプルデータJ35S515を使用します。
result.BINET <- BINET(
U = J35S515, ncls = 13, nfld = 12,
conf = conf, adj_file = edgeFile,
verbose = FALSE
)No ID column detected. All columns treated as response data. Sequential IDs (Student1, Student2, ...) were generated. Use id= parameter to specify the ID column explicitly.
No ID column detected. All columns treated as response data. Sequential IDs (Student1, Student2, ...) were generated. Use id= parameter to specify the ID column explicitly.
result.BINETTotal Graph
Class01 Class02 Class03 Class04 Class05 Class06 Class07 Class08 Class09
Class01 0 1 0 0 0 0 0 0 0
Class02 0 0 1 1 0 0 0 0 0
Class03 0 0 0 0 1 0 0 0 0
Class04 0 0 0 0 1 0 1 0 0
Class05 0 0 0 0 0 1 0 0 0
Class06 0 0 0 0 0 0 0 1 1
Class07 0 0 0 0 0 0 0 0 0
Class08 0 0 0 0 0 0 0 0 0
Class09 0 0 0 0 0 0 0 0 0
Class10 0 0 0 0 0 0 0 0 0
Class11 0 0 0 0 0 0 0 0 0
Class12 0 0 0 0 0 0 0 0 0
Class13 0 0 0 0 0 0 0 0 0
Class10 Class11 Class12 Class13
Class01 0 0 0 0
Class02 0 0 0 0
Class03 0 0 0 0
Class04 0 0 0 0
Class05 0 0 0 0
Class06 1 0 0 0
Class07 0 1 0 0
Class08 0 0 1 0
Class09 0 1 0 0
Class10 0 0 1 0
Class11 0 0 1 0
Class12 0 0 0 1
Class13 0 0 0 0

Estimation of Parameter set
Field 1
PSRP 1 PSRP 2 PSRP 3 PSRP 4
Class 1 0.000
Class 2 0.554 0.558 0.649
Class 3 0.740
Class 4 0.859
Class 5 0.875
Class 6 0.910
Class 7 0.868
Class 8 0.889
Class 9 0.961
Class 10 0.932
Class 11 0.898
Class 12 0.975
Class 13 1.000
Field 2
PSRP 1 PSRP 2 PSRP 3 PSRP 4
Class 1 0.0000
Class 2 0.0090
Class 3 0.0396
Class 4 0.6813 0.785 0.637
Class 5 0.4040 0.728 0.696
Class 6 0.6877
Class 7 0.8316
Class 8 0.8218
Class 9 1.0000
Class 10 0.9836
Class 11 1.0000
Class 12 1.0000
Class 13 1.0000
Field 3
PSRP 1 PSRP 2 PSRP 3 PSRP 4
Class 1 0.000
Class 2 0.177
Class 3 0.219
Class 4 0.206
Class 5 0.189 0.253
Class 6 1.000
Class 7 1.000
Class 8 1.000
Class 9 0.986
Class 10 1.000
Class 11 0.973
Class 12 1.000
Class 13 1.000
Field 4
PSRP 1 PSRP 2 PSRP 3 PSRP 4
Class 1 0.0000
Class 2 0.0127
Class 3 0.1228
Class 4 0.0468
Class 5 0.1131
Class 6 0.6131 0.436 0.179
Class 7 0.9775
Class 8 0.9539
Class 9 0.9751
Class 10 0.9660
Class 11 0.9411 0.925 0.757
Class 12 1.0000
Class 13 1.0000
Field 5
PSRP 1 PSRP 2 PSRP 3 PSRP 4
Class 1 0.0000
Class 2 0.0157
Class 3 0.0731 0.330 0.06789
Class 4 0.9626
Class 5 0.1028
Class 6 0.2199
Class 7 0.1446 0.265 0.00602
Class 8 0.9403
Class 9 0.2936 0.298 0.12080
Class 10 0.8255
Class 11 0.9123
Class 12 1.0000 1.000 1.00000
Class 13 1.0000
Field 6
PSRP 1 PSRP 2 PSRP 3 PSRP 4
Class 1 0.000
Class 2 0.236
Class 3 0.275
Class 4 0.449
Class 5 0.414
Class 6 0.302
Class 7 0.415
Class 8 0.469
Class 9 0.560
Class 10 0.564
Class 11 0.614
Class 12 0.764
Class 13 1.000
Field 7
PSRP 1 PSRP 2 PSRP 3 PSRP 4
Class 1 0.0000
Class 2 0.0731
Class 3 0.0810
Class 4 0.1924
Class 5 0.1596
Class 6 0.1316
Class 7 0.1263
Class 8 0.1792
Class 9 0.7542
Class 10 0.9818 0.883 0.933 0.975
Class 11 0.3047
Class 12 0.7862
Class 13 1.0000
Field 8
PSRP 1 PSRP 2 PSRP 3 PSRP 4
Class 1 0.00e+00
Class 2 9.83e-05
Class 3 3.70e-02
Class 4 3.91e-02
Class 5 4.21e-02
Class 6 6.88e-02
Class 7 4.56e-01
Class 8 1.65e-01 0.192
Class 9 6.15e-01
Class 10 3.88e-01
Class 11 3.16e-01
Class 12 1.00e+00 1.000
Class 13 1.00e+00
Field 9
PSRP 1 PSRP 2 PSRP 3 PSRP 4
Class 1 0.00e+00
Class 2 2.47e-16
Class 3 1.61e-02
Class 4 6.15e-01
Class 5 3.46e-02
Class 6 5.26e-02
Class 7 1.44e-11
Class 8 2.09e-01
Class 9 9.51e-18
Class 10 8.09e-01
Class 11 1.00e+00 1.000
Class 12 7.81e-01 0.703
Class 13 1.00e+00
Field 10
PSRP 1 PSRP 2 PSRP 3 PSRP 4
Class 1 0.0000
Class 2 0.0952
Class 3 0.1798
Class 4 0.1741
Class 5 0.1594
Class 6 0.1789
Class 7 0.1208
Class 8 0.1550
Class 9 0.2228
Class 10 0.2602
Class 11 0.1724
Class 12 0.3109
Class 13 1.0000
Field 11
PSRP 1 PSRP 2 PSRP 3 PSRP 4
Class 1 0.00e+00
Class 2 6.09e-14
Class 3 8.84e-07
Class 4 8.14e-02
Class 5 2.46e-02
Class 6 2.13e-02
Class 7 2.56e-02
Class 8 2.76e-16
Class 9 2.44e-01
Class 10 4.30e-01
Class 11 3.84e-02
Class 12 5.86e-01
Class 13 1.00e+00
Field 12
PSRP 1 PSRP 2 PSRP 3 PSRP 4
Class 1 0.00e+00
Class 2 2.35e-03
Class 3 5.57e-02
Class 4 0.00e+00
Class 5 2.02e-02
Class 6 1.67e-02
Class 7 1.93e-02
Class 8 4.62e-02
Class 9 1.85e-02
Class 10 2.54e-02
Class 11 5.68e-15
Class 12 2.26e-01
Class 13 1.00e+00 1 1 1
Local Dependence Passing Student Rate
Field Field Item 1 Field Item 2 Field Item 3 Field Item 4 Parent Class
1 1.000 Item01 Item31 Item32 1.000
2 2.000 Item11 Item21 Item22 2.000
3 2.000 Item11 Item21 Item22 3.000
4 3.000 Item23 Item24 4.000
5 4.000 Item25 Item26 Item27 5.000
6 4.000 Item25 Item26 Item27 7.000
7 5.000 Item02 Item03 Item04 2.000
8 5.000 Item02 Item03 Item04 4.000
9 5.000 Item02 Item03 Item04 6.000
10 5.000 Item02 Item03 Item04 8.000
11 5.000 Item02 Item03 Item04 10.000
12 7.000 Item12 Item13 Item16 Item17 6.000
13 8.000 Item28 Item29 6.000
14 8.000 Item28 Item29 11.000
15 9.000 Item05 Item06 8.000
16 9.000 Item05 Item06 9.000
17 12.000 Item18 Item19 Item20 Item30 12.000
Parent CCR 1 Parent CCR 2 Parent CCR 3 Parent CCR 4 Child Class Child CCR 1
1 0.000 0.000 0.000 2.000 0.554
2 0.005 0.018 0.003 4.000 0.681
3 0.034 0.068 0.016 5.000 0.404
4 0.221 0.190 5.000 0.189
5 0.147 0.050 0.142 6.000 0.613
6 0.999 0.991 0.943 11.000 0.941
7 0.005 0.040 0.002 3.000 0.073
8 0.996 0.998 0.893 7.000 0.145
9 0.263 0.334 0.063 9.000 0.294
10 0.980 0.958 0.882 12.000 1.000
11 0.943 0.800 0.733 12.000 1.000
12 0.181 0.146 0.037 0.162 10.000 0.982
13 0.009 0.129 8.000 0.165
14 0.359 0.273 12.000 1.000
15 0.266 0.152 12.000 0.781
16 0.000 0.000 11.000 1.000
17 0.158 0.178 0.217 0.352 13.000 1.000
Child CCR 2 Child CCR 3 Child CCR 4
1 0.558 0.649
2 0.785 0.637
3 0.728 0.696
4 0.253
5 0.436 0.179
6 0.925 0.757
7 0.330 0.068
8 0.265 0.006
9 0.298 0.121
10 1.000 1.000
11 1.000 1.000
12 0.883 0.933 0.975
13 0.192
14 1.000
15 0.703
16 1.000
17 1.000 1.000 1.000
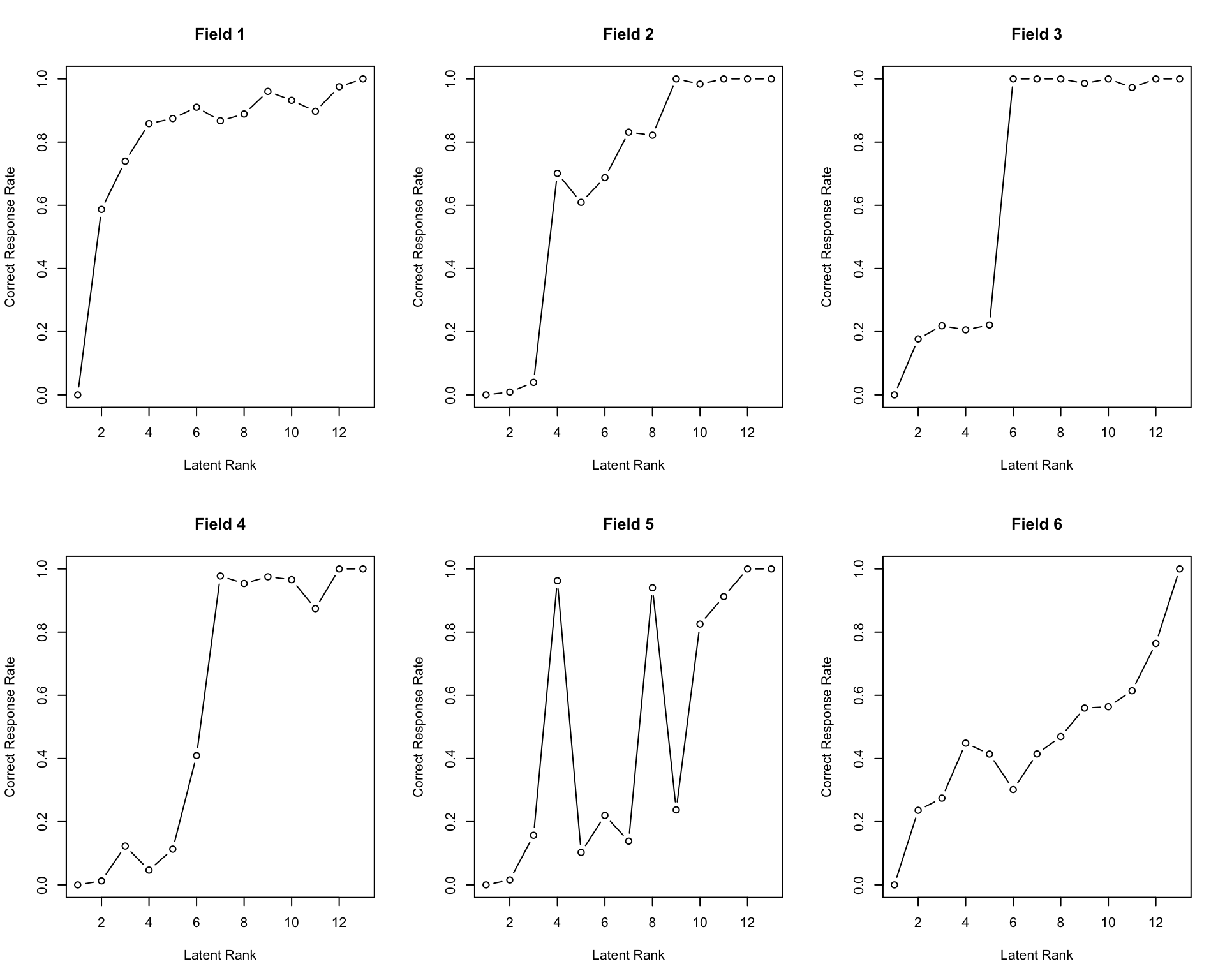
Marginal Bicluster Reference Matrix
Class1 Class2 Class3 Class4 Class5 Class6 Class7 Class8 Class9 Class10
Field1 0 0.587 0.740 0.859 0.875 0.910 0.868 0.889 0.961 0.932
Field2 0 0.009 0.040 0.701 0.609 0.688 0.832 0.822 1.000 0.984
Field3 0 0.177 0.219 0.206 0.221 1.000 1.000 1.000 0.986 1.000
Field4 0 0.013 0.123 0.047 0.113 0.410 0.978 0.954 0.975 0.966
Field5 0 0.016 0.157 0.963 0.103 0.220 0.138 0.940 0.237 0.825
Field6 0 0.236 0.275 0.449 0.414 0.302 0.415 0.469 0.560 0.564
Field7 0 0.073 0.081 0.192 0.160 0.132 0.126 0.179 0.754 0.943
Field8 0 0.000 0.037 0.039 0.042 0.069 0.456 0.179 0.615 0.388
Field9 0 0.000 0.016 0.615 0.035 0.053 0.000 0.209 0.000 0.809
Field10 0 0.095 0.180 0.174 0.159 0.179 0.121 0.155 0.223 0.260
Field11 0 0.000 0.000 0.081 0.025 0.021 0.026 0.000 0.244 0.430
Field12 0 0.002 0.056 0.000 0.020 0.017 0.019 0.046 0.019 0.025
Class11 Class12 Class13
Field1 0.898 0.975 1
Field2 1.000 1.000 1
Field3 0.973 1.000 1
Field4 0.874 1.000 1
Field5 0.912 1.000 1
Field6 0.614 0.764 1
Field7 0.305 0.786 1
Field8 0.316 1.000 1
Field9 1.000 0.742 1
Field10 0.172 0.311 1
Field11 0.038 0.586 1
Field12 0.000 0.226 1
Class 1 Class 2 Class 3 Class 4 Class 5 Class 6
Test Reference Profile 0.000 3.900 6.001 12.951 8.853 11.428
Latent Class Ditribution 2.000 95.000 73.000 37.000 60.000 44.000
Class Membership Dsitribution 1.987 82.567 86.281 37.258 60.781 43.222
Class 7 Class 8 Class 9 Class 10 Class 11
Test Reference Profile 14.305 17.148 19.544 23.589 20.343
Latent Class Ditribution 43.000 30.000 34.000 18.000 37.000
Class Membership Dsitribution 43.062 30.087 34.435 20.063 34.811
Class 12 Class 13
Test Reference Profile 27.076 35
Latent Class Ditribution 27.000 15
Class Membership Dsitribution 25.445 15
Model Fit Indices
Multigroup Model Saturated Moodel
model_log_like -5786.942 -5786.942
bench_log_like -5891.314 0
null_log_like -9862.114 -9862.114
model_Chi_sq -208.744 11573.88
null_Chi_sq 7941.601 19724.23
model_df 1005 16895
null_df 1155 17045
NFI 1 0.4132149
RFI 1 0.4080052
IFI 1 1
TLI 1 1
CFI 1 1
RMSEA 0 0
AIC -2218.744 -22216.12
CAIC -7489.132 -110816.3
BIC -6484.132 -93921.32
8.3.3 可視化(baseグラフィックス)
plot(result.BINET, type = "Array")
plot(result.BINET, type = "TRP")
plot(result.BINET, type = "LRD")
plot(result.BINET, type = "RMP", students = 1:9, nc = 3, nr = 3)
plot(result.BINET, type = "FRP", nc = 3, nr = 2)

LDPSRは,局所依存クラスの通過受検者率を表示します。
plot(result.BINET, type = "LDPSR", nc = 3, nr = 2)


8.3.4 可視化(ggExametrika)
plotArray_gg(result.BINET)
TableGrob (1 x 2) "arrange": 2 grobs
z cells name grob
1 1 (1-1,1-1) arrange gtable[layout]
2 2 (1-1,2-2) arrange gtable[layout]
plotTRP_gg(result.BINET)
plotLRD_gg(result.BINET)Warning in plotLRD_gg(result.BINET): The input data was supposed to be
visualized with The Latent Class Distribution, so I will plot the LCD.

plotRMP_gg(result.BINET)[[1]]Warning in plotRMP_gg(result.BINET): The input data was supposed to be
visualized with The Class Membership Profile, so I will plot the CMP.

plotFRP_gg(result.BINET, fields = 1)
plotLDPSR_gg(result.BINET)[[1]]
8.4 モデル選択ガイド
| モデル | 主な焦点 | 適用場面 |
|---|---|---|
| LDLRA | 項目レベルの依存関係 | 項目間の関係が習熟度ランクによって変化する場合 |
| LDB | フィールドレベルの構造 | 項目が自然なグループを形成し,依存関係を持つ場合 |
| BINET | クラス進行 | フィールド内に複雑な学習パターンが存在する場合 |